昆明理工大学宁平教授团队:钙基工业固废电石渣干法脱硫研究
来源:矿冶集团信息研究中心 时间:2025/11/6 11:17:34

电石渣(Carbide slag, CS)是大宗工业固体废弃物,主要成分是Ca(OH)2,碱性氧化物对酸性气体有很好的去除效果,因其具有较高的比表面积和最佳的SO₂扩散渠道,但大量堆存不仅占用土地资源,还存在环境污染风险。同时,SO₂是大气污染的主要污染物之一,其排放控制对我国实现“双碳”目标和大气污染防治具有重要意义,其减排和资源化利用备受关注。将电石渣代替石灰石用于烟气脱硫,可以实现废物的有效再利用。基于此,提出采用电石渣作为钙基脱硫剂进行烟气干法脱硫的新方法,考察了不同试验条件对脱硫性能的影响。同时,通过对材料进行X射线衍射(XRD)、BET比表面积(BET)、X射线光电子能谱(XPS)、程序升温脱附(TPD)等表征分析,结合动力学计算,系统研究了脱除机理。结果表明,SO₂首先通过物理吸附富集于CS表面,随后CaO/Ca(OH)2作为碱性位点与其发生酸碱中和,钙物种从单一氧化态向Ca-O-S配位结构(CaSO₄)转变,成为固定SO₂的核心活性位点。在晶格氧(Olat)和碳基体电子传递协同下,SO₂被氧化为SO42-并与Ca2+结合生成CaSO4,实现了硫氧化物的高效化学固定。最佳工艺参数为:脱硫温度700 ℃、气体质量空速45 h-1、O2浓度5%、以N₂作平衡气,此时SO₂脱除率可达100%,吸附容量最高,为1251.71 mg/m³相关成果发表于矿冶期刊群《有色金属(冶炼部分)》2025年第10期,题目:钙基工业固废电石渣干法脱硫研究,作者:邹娟,董意,冯嘉予,崔硕,曹睿,宋晓双,潘自斌,宁平,刘彦章,贾丽娟,王访。

72518dc65768717238551b9c4bcb02e3.jpg

扫码下载文章



1 背景

SO₂是污染环境、危害健康、造成经济损失的主要污染气体。据《2023年中国生态环境统计年报》,2023年中国的SO₂排放量为238.0万t。其中,全国酸雨区面积约443000 km2,占陆域国土面积的4.6%,其中较重酸雨区面积占0.04%。2024年1—12月全国339个地级及以上城市SO₂平均浓度为8 μg/m³。目前处理SO₂的工艺较多,主要分为干法、湿法、半干法工艺。其中,湿法工艺存在能耗高、占地面积大、设备腐蚀、副产物处理复杂、废水处理难、易结垢等缺点。半干法脱硫虽然反应速度快,但存在脱硫率低、副产物成分复杂及难处理易结垢、雾化喷嘴易堵塞磨损、系统中容易出现局部腐蚀等问题。相比之下,干法脱硫不存在腐蚀和结露等问题,且不产生废水,具有工艺简单、无二次污染、运行费用低等优点。同时减少了热损耗,更有利于节能,减少碳排放。

目前,大部分干法脱硫采用可再生脱硫剂用于高温吸附,该方法需要H2等还原性气体,吸附及再生温度均需在500 ℃以上,导致其推广和应用受到一定的限制。而钙基脱硫剂因具有原料价格低、脱硫效果较好、无需处理废水及脱硫产品可资源化等优点,应用较广。电石渣(Carbide slag, CS)是电石水解获取乙炔气体后的副产物,属于第Ⅱ类一般工业固体废物,对周边大气、水(地表水和地下水)和土壤造成污染,影响周边环境,危害人体健康。CS与石灰石性质相同,其主要成分是Ca(OH)2,碱性氧化物对酸性气体有很好的去除效果,且其具有较高的比表面积和最佳的SO₂扩散渠道。有研究已成功将其代替石灰石用于烟气脱硫,实现了废物的有效再利用。

基于此,本研究采用电石渣作为钙基脱硫剂,考察了不同试验条件对脱硫性能的影响,并结合表征手段对反应进程机制进行了分析,为电石渣干法烟气脱硫提供一定的基础。



2 试验设备与方法


2.1 电石渣的预处理

在实验室条件下,电石渣的预处理遵循以下流程:首先采用20目筛网对原料CS进行初步筛分,去除可见大颗粒杂质(电石块、石块等),筛上物经颚式破碎机二次破碎后复筛,确保颗粒粒径≤1 mm;然后将筛后样品置于恒温干燥箱((105±5) ℃)中,烘干4~6 h后至恒重,采用重量法监测含水率至<5%,烘干过程中每隔1 h翻动样品一次,以保证其受热均匀;接着使用球磨机(氧化锆球磨罐,球料质量比10︰1)以300 r/min转速研磨2 h,过60~100目标准筛后收集合格颗粒。以上所有处理步骤均需在干燥环境中进行,避免样品吸潮。


2.2 试验流程及活性评价方法

CS干法脱硫的试验装置与流程如图1所示。材料的活性评估在自制反应器中进行,首先称取0.5 g CS均匀放于反应器中。采用动态配气,并在气体混合罐中形成模拟烟气。SO₂进口浓度为1500 mg/m³,N2作平衡气,流量为200 mL/min。同时进行加热,反应的温度由温控器进行控制。采用MRU红外烟气分析仪对尾气进行在线检测,检测后的尾气经NaOH溶液吸收后排出。SO₂转化率及吸附容量的具体计算公式如下:

11.jpg

式中,η为脱硫效率(%);CinCout分别为进口与出口SO₂的质量浓度(mg/m³);qe为吸附容量(mg/g);Q为模拟烟气总量(mL/m³);m为试验所用材料的质量(g)。

22.jpg

图1 CS干法脱硫的试验仪器与流程


2.3 材料的表征分析方法

通过FT-IR(Scientific Nicolet IS 50)对CS表面官能团的种类进行测定,使用X射线衍射仪(XRD)测定原料CS和反应后的材料UCS的组成和表面结构。采用X射线光电子能谱仪XPS(X-ray Photoelectron Spectroscopy)获得材料表面的元素组成和价态变化,以及反应前后材料的微观形貌和元素分布信息,采用物理吸附仪(BELSORP-max,日本麦克奇拜尔牌)测量反应前后CS的N2吸附-脱附等温线,并结合BET多层吸附理论公式和Barret-Joyner-Halenda(BJH)方法进行计算,以获得材料的比表面积、孔容、孔径分布和平均孔径等物理性质。同时,利用程序升温脱附(TPD)表征固体材料表面碱性位点强度及对其数量进行测定。



3 结果与讨论


3.1 反应温度对脱硫效率的影响

在气体质量空速为45 h-1、O2浓度为5%,以N2作平衡气时,探究单一变量反应温度对CS干法脱硫效率的影响,结果如图2所示。

33.jpg

图2 不同温度下:(a)脱除效率;(b)SO₂吸附容量;(c)CS脱硫产物的XRD谱

从图2可以看出,随着脱硫温度的升高,CS对SO₂脱除能力和吸附容量均呈现上升的趋势(图2(b))。在700 ℃时,CS对SO₂的脱除效果最好,反应前18 h保持脱除率为100%(图2(a)),吸附容量最高,为1194.69 mg/m³。而在低温条件下(≤300 °C),CS的脱硫效率较低,但仍对SO₂有明显脱除效果。为更好地探究反应温度的影响,对不同脱硫温度下CS脱硫副产物进行XRD分析表征,结果如图2(c)所示。从图2(c)可以看出,当反应温度在500 ℃以下时,材料的成分主要以Ca(OH)2为主。随着温度的升高,Ca(OH)2的特征峰明显减弱,当反应温度为500 ℃时,材料中出现了CaO特征峰,这说明材料发生了热分解反应,主要物质由Ca(OH)2转变为CaO。随着反应温度进一步升高,当反应温度为700 ℃时,Ca(OH)2的特征峰完全消失,CaSO4的衍射峰强度增强,结晶度逐渐增加。结合性能结果分析表明,随着反应温度的升高和反应的进行,CS的主要物质由Ca(OH)2转变为活性物质CaO,同时SO₂在材料表面发生吸附反应生成了CaSO4。故从脱硫效率和稳定性等方面考虑,选择700 ℃为最佳脱硫温度。


3.2 气体质量空速对脱硫效率的影响

考虑到在化工、催化和吸附反应中为避免温度和压力变化带来的影响,且利于吸附过程的定量分析与控制,常将气体质量空速(WHSV)作为吸附剂性能的关键评价参数。现将气体流量换算成气体质量空速进行分析,其体现的是气体质量流量(g/h)与吸附剂质量(g)的比值关系,单位为h-1。在O2浓度为5%,以N2作平衡气,温度为700 ℃的条件下,探究单一变量气体质量空速对CS干法脱硫效率的影响,结果如图3所示。从图3(a)和图3(b)可以看出,随着气体质量空速的升高,CS有效脱除SO₂时间缩短,在低空速(≤15 h-1)时,材料可28 h保持脱除率达100%。但SO₂吸附容量随气体质量空速的增加呈现上升趋势,在空速为60 h-1时的吸附容量为1310.68 mg/m³,远高于低空速时的吸附容量。且在高空速(≥45 h-1)条件下,SO₂吸附容量相近。对不同气体质量空速下CS脱硫副产物进行XRD分析表征,结果如图3(c)所示。对比衍射峰变化,在低空速时其晶体结构相对稳定。随着气体质量空速的升高,CaSO4的衍射峰强度减弱,同时CaO的衍射峰开始出现,在高空速60 h-1时,CaSO4的衍射峰几乎完全消失,CaSO4在此时几乎完全分解为CaO。综上考虑脱硫效率和能源损耗,并结合性能结果分析,选择45 h-1为脱硫的最佳气体质量空速。

44.png

图3 不同气体质量空速下:(a)脱硫效率;(b)SO₂吸附容量;(c)CS脱硫副产物的XRD谱


3.3 SO₂浓度对脱硫效率的影响

在气体质量空速为45 h-1,O2浓度为5%,以N2作平衡气,反应温度为700 ℃时,考察了SO₂浓度对CS干法脱硫效率的影响,结果如图4所示。由图4可得,随着SO₂浓度的升高,CS有效脱除SO₂时间缩短,但SO₂吸附容量呈现上升的趋势。对于低浓度的SO₂(<3000 mg/m³),反应前10~15 h能保持脱除率为100%,说明对低浓度SO₂能有效去除。而对于高浓度的SO₂,在浓度为5000 mg/m³和7000 mg/m³时,吸附容量可分别达1264.64、1309.16 mg/g,说明CS干法脱硫能运用于脱除高浓度SO₂且效果显著。

55.png

图4 不同SO₂浓度下脱硫效率(a)和SO₂吸附容量(b)


3.4 O2浓度对脱硫效率的影响

在气体质量空速为45 h-1,SO₂浓度为5000 mg/m³,以N2作平衡气,反应温度为700 ℃时,考察了CS干法脱除SO₂的脱硫效率,结果如图5所示。在氧气浓度为0时,脱硫效率与SO₂吸附容量均处于较低水平,吸附量为620.32 mg/g。由于O2是SO₂化学吸附时转化为硫酸盐的关键氧化剂,在低氧环境下,SO₂在碱性位点仅形成亚硫酸盐(SO32-)。氧化不足从而限制了反应深度,未完全反应的亚硫酸盐易脱附,最终会导致吸附容量下降。在O2浓度升至5%时,脱硫效率能14 h保持至98%,吸附容量达峰值1297.65 mg/g。适度氧化既能避免高氧浓度导致的微孔堵塞,还能实现碱性位点高效利用。而在O2浓度增至15%时,脱硫效率回落,吸附容量降至987.46 mg/g。过量O2会加快硫酸盐生成,导致产物层在CS表面快速堆积,堵塞微孔通道,阻碍SO₂向内扩散。综上考虑,并结合性能结果分析,选择5%为脱硫的最佳O2浓度。

66.jpg

图5 不同O2浓度下脱硫效率(a)和SO₂吸附容量(b)


3.5 反应动力学研究

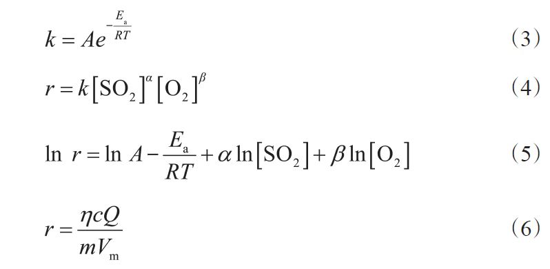
为了进一步探究CS干法脱除SO₂的反应速率,通过试验测定了CS的反应活化能。根据阿伦尼乌斯方程,速率方程的反应速率常数k可表示为式(3),速率方程为式(4),将式(3)带入式(4),并对两边同时取对数,得式(5)。

在保持进口浓度条件不变的情况下,测量不同温度下SO₂的转化率,再利用式(6)计算反应速率r。根据式(5),以-1为横坐标,以ln r为纵坐标作图(图6),得到线性回归方程,根据拟合直线的斜率即可计算出反应的活化能Ea。从图6可以得到,线性回归方程相关系数R2=0.99516,拟合效果较好。

77.jpg

式中,k为反应速率常数(mol·s-1·g-1);A为指前因子;R为气体常数,R=8.31 J/(mol·K);T为反应温度(K);Ea为活化能(kJ/mol);r为反应速率(mol·s-1·g-1);η为SO₂转化率,即脱硫效率(%); Q为总气体流量(L/s);m为电石渣的质量(g);Vm为气体的摩尔体积;

88.jpg

图6 CS干法脱除SO₂的活化能及线性回归曲线

根据拟合结果,CS干法脱除SO₂活化能为4.375 kJ/mol。有研究采用CS湿法脱硫的活化能为(7.64±1.8) kJ/mol,可以看出,采用CS干法脱硫有效降低了材料的表观活化能,加快反应速率,进一步提高SO₂的脱除效率。

假定SO₂氧化不受热力学平衡限制,则SO₂氧化反应速率方程可以表示为式(7)。对式(7)两边同时取对数可得式(8)。以ln C为横坐标,ln r为纵坐标作图,并进行线性拟合,其斜率即为反应级数。

1)SO₂反应级数

在700 ℃下,保持O2入口浓度不变,通过改变入口SO₂浓度C(SO₂)分别为1000、3000、5000、7000 mg/m³,测得SO₂转化率(r)。ln r—ln C(SO₂)拟合曲线如图7(a)所示。

2)O2反应级数

在700 ℃下,保持SO₂入口浓度不变,通过改变入口O2浓度C(O2)分别为0%、5%、10%、20%,测得SO₂转化率(r)。ln r—ln C(O2)拟合曲线如图7(b)所示。

如图7所示,CS的反应级数拟合直线与实验数据的相关度较好,SO₂和O2的相关系数R2分别为0.98553和0.98781。反应级数越小,对反应的影响越小。由图7(a)可知CS氧化SO₂反应对SO₂浓度和O2浓度的反应级数分别为nA=0.58和nB=0.43。整理上述试验结果便得到CS氧化SO₂的反应速率方程为式(9)。

99.jpg

式中,C(SO₂)为SO₂入口浓度(mg/m³);C(O2)为O2入口浓度(mg/m³);nA为SO₂的反应级数;nB为O2的反应级数。

10.jpg

图7 CS干法脱除SO₂的反应速率拟合曲线及反应级数


3.6 表征分析

为了进一步探究CS脱除SO₂的机理,对反应前的材料CS和反应后的材料UCS进行表征分析。图8(a)、图8(b)和表1分别为CS和UCS的BET测试结果。可以看出,CS经过吸附SO₂反应后,样品孔结构发生显著变化。比表面积急剧下降80.15%(从12.506 m2/g降至2.482 m2/g),孔体积缩减93%(0.0857 cm³/g降至0.0060 cm³/g),平均孔径减少83%(从21.32 nm降至3.635 nm)。UCS在P/P₀=0.4~0.8的区间内微孔吸附特征消失。以上分析表明,CS吸附SO₂后,其产物CaSO4在表面积累,造成表面孔道堵塞,导致比表面积和孔体积下降。

图8(c)为反应前后CS的FTIR谱图。可以看出,CS的O—H峰(3642.04 cm-1)经脱硫反应后向高波数偏移至3648.85 cm-1,且峰形明显展宽,结合BET分析,推测高温反应促使羟基基团与SO₂发生化学吸附。UCS的CO32-峰(1423.14 cm-1)强度减弱,说明高温后CS中部分方解石分解,表面残余的碳酸盐减少。此外,UCS在1157.83 cm-1处出现明显吸收峰,对应SO42-的反对称伸缩振动(ν3),同时在612.67 cm-1和677.78 cm-1处出现SO42-的面外弯曲振动(ν4)特征,表明硫酸钙晶体中[SO4]四面体的晶格振动。该组特征峰的出现证实脱硫产物中存在CaSO4物相,与BET分析中孔道堵塞的CaSO4沉积相印证。从XRD分析结果(图8(d))可以看出,材料的CaO(PDF#37-1497)与Ca(OH)2(PDF#41-1481)特征峰在反应后减弱,同时出现CaSO4(PDF#37-1496)衍射峰。

图8(e)-(i)为CS反应前后的XPS全谱以及S 2p、C 1s、O 1s和Ca 2p光谱。从图8(e)和图8(f)可以看出,UCS的全谱中出现了S 2p特征峰,证明S已经附着在材料表面。同时,UCS中的S 2p的结合能集中在169.3~170.4 eV,对应于SO42-,这表明有硫酸盐的生成,与XRD的观察结果一致,即在反应过程中生成了CaSO4

从C 1s光谱结果(图4(g))可以看出,UCS在284.7 eV和287.17 eV处呈现双峰结构,主峰(284.7 eV)对应Sp²杂化碳(C—C/C—H),次峰(287.17 eV)归属为C=O或O—C—O氧化碳结构,表明吸附后材料表面氧化程度提升;对比CS发现,反应后UCS的285.62 eV的中强氧化态峰消失,新增287.17 eV的高氧化态峰,说明SO₂吸附促使部分C—O官能团转化为更高氧化态(如C=O),同时可能伴随表面电荷再分布。

从图8(h)可以看出,UCS的晶格氧Olat降低消失,而吸附氧Oads峰成为主导且结合能略微偏移,表明SO₂吸附过程中Olat参与SO₂氧化,导致其含量下降,同时表面吸附氧物种大幅增加。从图8(i)可以看出,UCS的Ca 2p3/2主峰和Ca 2p1/2峰的峰位有偏移,表明钙的化学环境发生改变,这是由于钙与SO₂吸附生成的硫氧基团形成配位键(Ca—O—S),导致电子密度重新分布。

11 (2).jpg

图8 CS和UCS的表征:(a—b)BET结果;(c)FTIR谱图;(d)XRD分析结果;(e—i) CS反应前后的XPS全谱(e)以及S 2p(f)、C 1s(g)、O 1s(h)和Ca 2p(i)光谱

表1 CS和UCS的BET结果和孔径大小

12.png

CS材料的干法脱硫过程本质是表面碱性位点与SO₂气体的化学吸附及酸碱中和反应。通过CO2-TPD表征(图9(a))可明确其表面碱性位点的分布特征:在弱碱性位点(0~200 ℃)、中碱性位点(200~400 ℃)和强碱性位点(>400 ℃) 均存在典型脱附峰,证实材料具有多级碱性结构。其中弱碱性位点的峰面积显著较高,表明该区域位点密度最大,这为SO₂的初始吸附提供了丰富活性中心。气态SO₂接触CS表面后,首先被高密度的弱碱性位点捕获,形成不稳定的物理吸附态SO₂。随后,吸附态SO₂与邻近的中等强度碱性位点发生质子转移反应,转化为亚硫酸盐(SO32-)中间物种。此过程伴随电子重新分布,使硫原子呈高价态。关键步骤为活化的SO32-在强碱性位点提供的富电子环境下,进一步氧化为硫酸盐,并牢固键合于表面。SO₂-TPD图谱(图9(b))中高温区(>500 ℃)的脱附峰印证了硫酸盐物种的存在,其高分解温度说明反应产物通过强化学键锚定在表面。整个脱硫流程呈现“物理吸附—化学转化—晶格固定”的串联机制。

13.jpg

图9 CS的CO2-TPD图(a)及SO₂-TPD图(b)

基于上述分析提出CS脱除SO₂过程中的机理如图6所示。SO₂首先通过物理吸附富集于CS表面,随后CaO/Ca(OH)2作为碱性位点与SO₂发生酸碱中和,钙物种从单一氧化态向Ca—O—S配位结构(CaSO4)转变,成为固定SO₂的核心活性位点,在晶格氧(Olat)和碳基体电子传递协同下,SO₂被氧化为SO42-并与Ca2+结合生成CaSO4 ,实现硫氧化物的高效化学固定。反应机理为:

14.jpg

15.jpg

图10 CS脱除SO₂的机理



4 结论

本文论述了以电石渣(CS)为原料,利用干法烟气脱除SO₂的方法。进行单因素试验,找到最佳反应温度、气体质量空速,并对其进行XPS、BET、XRD、FT-IR等表征分析,得出了以下结论:

1)反应温度、气体质量空速和SO₂浓度对CS干法脱硫效果的影响显著。最佳工艺条件:脱硫温度700 ℃、气体质量空速45 h-1、O2浓度5%、以N2作为平衡气。此条件下反应前18 h可保持脱除率为100%,吸附容量最高,为1251.71 mg/m³。

2)CS干法脱除SO₂的机理为:通过物理吸附富集SO₂,CaO/Ca(OH)2与SO₂发生酸碱中和,在晶格氧(Olat)和碳基体电子传递协同下,SO₂被氧化为SO42-并与Ca2+结合生成CaSO4,实现硫氧化物的高效化学固定。


  • 行业动态

  • 成果展示