本文构建了两层博弈分析框架,每一层次涉及不同的博弈主体及其互动关系。第一层博弈主体海管局和深海矿产资源开发企业。海管局作为领导者,先行制定环境成本内部化的政策工具(如环境税率等),其目标可能是在最大化社会福利或资源收益的同时将环境损害降至最低。企业则作为跟随者,在观察到监管政策后再决定开采行为(如开采产量、环境保护投入水平等),以最大化自身利润。第二层博弈主体引入环境保护组织,包括海管局、环境保护组织和开发企业。环境保护组织和开发企业围绕企业环境保护合规与违法排污的选择,以及环境监督与揭发的策略,构成一种监督-顺从博弈。企业可以选择遵守环境保护规定(承担必要的环境保护成本)或不完全遵守(节省成本但造成环境损害);环境保护组织则可以选择投入精力监测企业行为,或因资源有限而降低监查频率。
2.1 海管局-企业Stackelberg 博弈模型
在第一层博弈中,考虑海管局与深海矿产资源开发企业之间围绕环境税和开采决策的领导者-跟随者博弈。海管局作为领导者,决策变量为环境税率t(可视为对每单位资源开采造成的环境损害征收的税费);企业作为跟随者,决策变量包括资源开采产量q 和环境保护投入x(用于减少污染排放、生态修复的投入金额)。
博弈顺序:海管局先设定环境税率t,企业观察到环境税率后再选择资源开采产量q 和环境保护投入x。通过逆向归纳法(Backward Induction)求解这一Stackelberg 博弈,首先求出给定t 下企业的最优反应函数,然后再求政府的最优环境税率决策。
2.1.1 模型假设
深海采矿项目的收益与成本受金属市场价格影响,特别是铜、钴、镍等关键矿产价格受国际市场供需、宏观经济环境及技术变化等因素影响。本文旨在分析深海矿产资源开采环境成本内部化的多方博弈机理和博弈过程,故作如下简化假设:企业的市场价格和成本结构为已知常数,环境污染量与开采产量正相关且与环境保护投入负相关。设深海矿产资源的市场价格为P(元/单位资源),企业资源开采产量为q。开采的直接成本用函数C(q)表示,C(q)为凸函数,随着产量增加边际成本上升,具体表达式见式(1)。
企业的环境保护投入x 可以降低污染排放量,假定每投入1 元可减少 θ单位的污染量(θx>0 表示环境保护投入的减排效率)。在不采取任何环境保护措施时,开采每单位资源将产生 δ单位的环境损害(例如等量的污染物排放或生态破坏程度),则企业造成的总环境损害量为δq-θx(假设线性可加,且x足够大时污染可被抵消)。政府对环境损害征收税费,环境税率为t(元/单位环境损害)。为使问题有解,假定企业的环境保护投入不会超过使污染为零的水平,即δq-θx=0。此外,企业进行环境保护投入本身需要成本,用函数∅(x)表示,∅(x)为递增且凸的(投入越多边际成本越高),例如可设

政府征收的环境税全部由企业承担,相当于将环境外部成本的一部分内部化为企业的财务成本。
2.1.2 企业利润函数
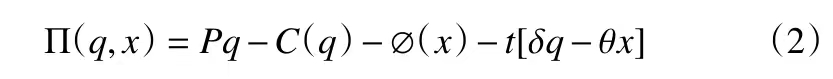
在环境税率t 给定的情况下,企业选择产量q 和环境保护投入x 来最大化自身利润。企业的税前利润为销售收入减去生产成本和环境保护投入成本:Π(q,x)=Pq-C(q)-∅(x)。此外,企业需支付环境税t[δq-θx]。则企业的税后利润函数可表示为式(2)。
式中,t[δq-θx]为企业因剩余污染量δq-θx而支付的环境税。当企业增加环境保护投入x 时,一方面 θx增加导致直接成本上升,但另一方面可降低应税污染量从而减少税负。企业将权衡这两者来确定最佳的q 和x 决策。
2.1.3 企业最佳响应
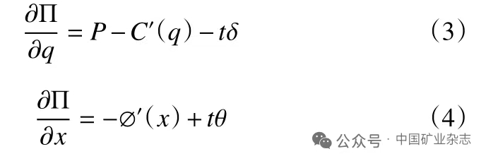
给定环境税率t,企业通过一阶条件求解最优产量和环境保护投入。以利润函数式(2)分别对q 和x求偏导并令其为零,可得企业的最佳响应条件:对产量q 的偏导数为式(3);对环境保护投入x 的偏导数为式(4)。
式(3)表明在最优产量下,产品价格P 等于企业的有效边际成本,其中包括生产的边际成本C′(q)和每增加一单位产量所带来的边际环境税负 tδ。换言之,企业选择产量q 使其边际收益P 等于边际总成本(生产成本加上边际环境成本)。式(4)表明在最优环境保护投入下,企业的边际减排收益等于边际环境保护投入成本:边际减排收益由节省的环境税tθ体现,边际投入成本为∅(x)。企业将环境保护投入增加到使再多投入1 元所节省的税费 tθ正好等于1元的投入成本为止,此时达到最优x。
在具体函数形式下,上述反应解可以得到显式表示。例如若取
则由式(3)有P-C′(q)-tδ=0,解得C′(q)=P-tδ(可见产量q 随环境税率t 增加而减少);由式(4)有∅′(x)=tθ,解得x=tθ/h(环境保护投入随环境税率提高而线性增加)。将x 代入污染量δq-θx可发现,环境税率提高会降低企业污染排放的总量。在该模型框架下,环境税率越高,企业倾向于缩减产量并增加环境保护投入,从而有效减少环境损害。
2.1.4 海管局最优环境税率选择
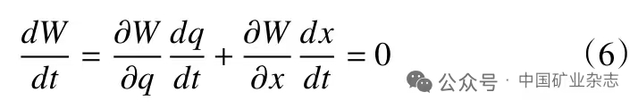
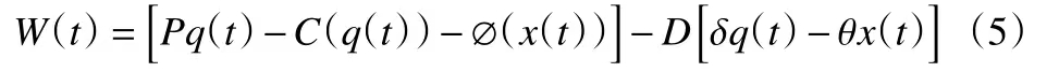
作为博弈的领导者,海管局预见企业的最佳响应,会选择一个使其效用(社会净福利)最大化的环境税率t。海管局目标函数可定义为社会福利或净效益。一般而言,可将社会净福利W 表示为经济收益减去环境损害成本。经济收益包括企业税前利润和海管局获得的税收收入,而环境损害成本可视为未被内部化的外部成本。由于环境税收本身是一种转移支付,且假定征收的税费全部用于环境修复(即税收用于弥补相应损害),则海管局主要关心资源开发所带来的纯经济利益和未内部化的环境损失。形式化地,社会福利可表示为企业税前利润加税收减去环境损害总成本,见式(5)。
式中:Pq(t)-C(q(t))-∅(x(t))为企业税前利润;D[δq(t)-θx(t)]为环境损害成本函数。企业税后利润未出现于W 中是因为税收作为环境修复资金抵消了相应损害。政府通过选择t 影响q 和x,进而影响W。为求得最优t,以式(5)对t 求导并令其为0,具体计算见式(6)。
在社会最优条件下,若环境税率t 完全等于每单位污染的边际社会损失 γ,则企业在此环境税率下的选择将使私人成本等于社会成本,从而自动满足
的条件。因此,可以推断海管局的最优策略是设置环境税率等于边际环境损害成本。
换言之,当环境税率t 提高到污染造成的每单位损害的真实价值 γ时,环境成本被充分内部化,此时企业的产量决策和减排努力都达到社会最优水平。这一结果为环境政策的制定提供了理论依据:通过环境税,可纠正市场失灵,将企业行为引导至帕累托最优的结果。在t=γ条件下,企业在均衡处的产量较无税时减少,环境保护投入增加,社会总污染量被压缩到最优水平。如果环境税率低于最优值(例如t=0时完全没有内部化),企业生产决策不会考虑环境外部成本,导致开采量过大、污染过度;而环境税率过高则可能压制合理的产出。环境税率确保在均衡时环境损害成本完全由企业承担,从而实现经济效益与环境保护的平衡。
图1 中,蓝色实线表示企业资源开采产量q 随环境税率t 的变化(呈下降趋势);绿色虚线表示企业环境保护投入x 随环境税率t 的变化(呈上升趋势)。红色垂直虚线表示当t= γ(等于边际环境损害成本)时的最优税率,此时企业的产量和环境保护投入达到社会最优。由此可以看出,适度提高环境税率可以有效降低开采强度并提升环境保护投入水平。该图说明环境税率对企业行为决策影响的理论机理,而非呈现具体的实证测算结果。图中数据点与函数趋势曲线意在直观展现“环境税率升高→企业资源开采产量减少、环境保护投入增加”的相互作用关系与逻辑路径。
图1 环境税率对企业资源开采产量和环境保护投入的影响
海管局在制定特许权使用费和环境税费等支付机制及环境标准后,合同承包商(企业)会据此调整产量和环境保护投入决策。上述Stackelberg 博弈模型表明:通过设计恰当的环境税率,可以将环境外部成本显性化为企业的决策变量,使企业在利润最大化的同时兼顾环境损失,从而在均衡上实现污染者付费原则。该模型为扩展的三方博弈奠定了基础。然而,在实际执行中,信息不对称和监管有限使得仅靠税收难以完全约束企业行为,三方博弈模型进一步探讨执行层面的激励兼容问题。
2.2 企业-环境保护组织-海管局三方博弈模型
在第二层博弈中,博弈模型主体包含资源开发企业、环境保护组织和海管局三方参与者的动态不完全信息博弈框架。相较于前述海管局-企业博弈,环境保护组织作为独立第三方对企业行为进行监督和施压,形成多方互动。本文重点考察两种激励工具对博弈均衡的影响:其一是履约保证金,即要求企业在获得采矿许可时缴纳一定金额的保证金,若采矿过程中违反环境规定并导致严重破坏则没收部分或全部保证金;其二是阶梯式污染税机制,即根据企业污染排放或生态影响程度分级征收环境税——污染超标越多,适用的环境税率档次越高(例如规定污染排放在许可阈值以内的部分适用较低环境税率t1,超出阈值m 的部分适用更高环境税率t2(t2>t1)。这两种机制旨在强化环境成本内部化:履约保证金提高了企业违规的潜在成本,阶梯式环境税率则对高污染行为施加额外的财务压力。环境保护组织通过监测、信息披露和舆论施压等方式,提高企业违规被发现的监测概率p,在博弈中扮演“独立监督者”的角色。
2.2.1 博弈流程与策略空间
将三方博弈设想为如下顺序进行。第一阶段,海管局制定规则,即确定履约保证金金额B、设定污染税的阶梯结构和环境质量标准(假设规定最大允许污染量为m)。例如,海管局要求企业预存保证金B,约定排放量不超过m 时适用环境税率t1,超出部分排放适用更高环境税率t2(t2>t1)。第二阶段,企业在知晓以上规则后决策其产量q 和环境保护投入x,从而产生实际污染排放量me=δq-θx。企业此时有两种策略选择:一是遵守标准(合规,Compliance),使得me ≤m;二是违反标准(超标,Violation),使得me >m。第三阶段,环境保护组织选择其监督力度,可抽象为选择一个监测概率p ∈[0,1]:以监测概率p 对企业进行检查。如果企业污染超标且被检查到,则海管局依据预定机制对企业进行处罚,包括对超标部分征收高额污染税,以及没收全部或部分保证金B;若企业未被查获或根本没有超标,则无需支付额外处罚(履约保证金予以返还,仅按正常环境税率t1 缴税)。由于环境保护组织无法确定企业是否超标,需通过监测获取信息,因此,整个博弈可视为一个动态的不完全信息博弈。在完全理性预期下求解该博弈的贝叶斯均衡或混合策略均衡,即考虑企业和环境保护组织的策略组合及其监测概率。
2.2.2 企业策略分析
企业在第二阶段面临策略选择:努力达标(Compliance)或投机性违法(Violation)。达标意味着投入足够的环境保护成本使污染不超过阈值m,其代价是较高的环境保护投入成本∅(xc),但好处是避免了超标惩罚,并且仅需按较低环境税率t1 缴纳环境税。违规意味着减少环境保护投入或提高产量使污染量超出标准me>m,节省了一部分环境保护投入成本或获得了额外产出利润,但风险在于一旦被抓住将面临高额罚款(包括超标部分按高环境税率t2 纳税和履约保证金被没收)。可以将企业在两种策略下的预期成本进行比较。
1)达标策略。企业选择适当的环境保护投入xc使污染排放刚好达到标准(m=δq-θx)。此时企业支付的环境保护投入成本为∅(xc),产生的污染税为 t1m,履约保证金B 最终可全额退还。企业总的环境相关成本(不含生产成本)为∅(xc)+t1m。
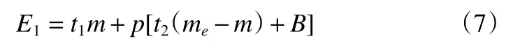
2)违规策略。企业选择较低的环境保护投入xv(极端情况下可能xv>0)使污染超标me>m。若企业未被检查到(监测概率1-p),则只需按基准环境税率缴纳t1×m 的税费(相当于谎报排放量恰好为m);若被环境保护组织查获(监测概率p),则超标部分me-m将按高环境税率缴税t2(me-m),且履约保证金B 被没收作为额外罚金。由此,企业违规策略下的预期总成本计算见式(7)。
式中:E1 为企业违规策略下的预期总成本; t1m 为无论是否被抓都需缴纳的常规税费(假设企业至少会申报阈值m 内的排放并缴税,以掩盖其超标部分);p[t2(me-m)+B]为被抓到时需要支付的额外期望惩罚。为简单起见,假定企业若不被抓就可逃避超标部分应缴的高额税费,实际中海管局可能通过审计等手段追缴一部分,但这一细节不改变总体结论。
企业将比较达标与违规两种策略的成本与收益。当违规的预期成本高于达标成本时,理性的企业将选择达标;反之则可能选择违规。两种策略的成本差可表示为式(8)。
由于完全违规情况下可近似认为∅(xv)≈0,代入式(8)可得近似的净效益差,见式(9)。
式(9)表明:只有当违规策略的预期惩罚p[t2(me-m)+B]大于等于达标所需的环境保护投入成本∅(xc)时(即 Δ≥0),达标才比违规更有利,企业才有动力选择达标合规。反之如果 Δ<0,则企业倾向于违规。由此可以推导出企业选择合规的条件。
3)合规均衡条件。当 Δ≥0 ,反映了激励机制对企业行为的约束:当环境保护组织的监督概率p 足够大,或者海管局设置的超标惩罚(高环境税率t2和履约保证金B)足够高时,违规的期望成本将超过守法成本,企业理性选择将会是遵守环境标准、投入必要的环境保护成本来达标。反之,如果监督稀松且惩罚偏低,则企业可能铤而走险以减少环境保护支出。
2.2.3 博弈均衡与机制设计
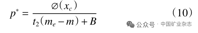
在完全理性预期下,存在贝叶斯均衡:企业选择一定监测概率(或在混合策略下)合规,环境保护组织选择一定监测概率p*,p*为最优监测概率,使得企业在边际上对合规和违规无差异。通过式(8)的条件,可解出使 Δ=0 时的最优监督概率p*,见式(10)。
这意味着如果环境保护组织的监督概率p 高于p*,则违规预期成本将高于达标成本,企业最优策略是合规;若p<p*,企业可能选择违规。类似地,对于给定的监督概率p,由式(11)也可看出需要足够大的t2 和B 才能使 Δ>0。因此,海管局应设计最小有效保证金和罚率条件,确保p[t2(me-m)+B]>∅(xc)。换言之,在既定的环境保护投入成本水平下,只要履约保证金和超标环境税率足够高,即使环境保护组织的监督概率不为1(监管不可能百分之百覆盖),也能将企业期望损失放大到使其不敢违规。这一结论与实际谈判中各方的主张相印证,即强化履约担保和加重违规处罚,可以在相对有限的监管资源下取得更好的威慑效果。多方参与和复合激励机制可以有效弥补单纯税收手段在执行层面的不足。履约保证金预先锁定了环境风险担保金,高档污染税提高了企业违规的代价,而环境保护组织的介入使违规被发现的监测概率提高。三者相结合,能够改变企业对收益和风险的评估,从而在均衡中促使企业自觉遵守环境标准、履行环境义务。
2.2.4 混合策略均衡分析
在不完全信息下,环境保护组织通常不会持续100%检查,而是以某一监测概率进行抽查;相应地,企业也不会总是遵守或总是违规,而是权衡被抓监测概率后选择在一定比例的时间里合规。两者之间形成所谓“监测概率”“合规概率”的均衡。环境保护组织选择使企业无利可图地违规的监测概率,企业选择令环境保护组织无必要频繁检查的合规概率。结果表明,在均衡时企业对遵守与否无差异,即预期收益相同;同样环境保护组织对检查与否无差异。这意味着存在如下均衡条件:企业违规的预期惩罚成本=遵守环境保护规定的成本。若企业每违规获得的成本节约为b,被查处后罚款等代价为d,环境保护组织监测概率为α,则均衡时应有α*d=b。例如,如果遵守环境保护措施增加了企业每吨矿石开采b 元成本,而一旦违规被抓将被罚d 元,则博弈均衡要求环境保护组织设置监测概率α=b/d。在该均衡下,企业对是否遵守持无差异态度,会以一定监测概率遵守;环境保护组织也无动力单方面改变检查频率。这样的混合策略均衡刻画了企业和环境保护组织在不完全信息下“猫捉老鼠式”的策略调整过程,提升了模型对现实中执法与违规隐蔽性的解释力。
通过上述均衡条件可以分析不同监督强度下企业合规行为的阈值变化。从α=b/d 可见,企业是否选择完全合规,关键在于监测概率和惩罚力度相乘的期望值相对其违规收益的大小。有几种情形值得讨论。
1)高监督高罚则企业全遵守。若监管方显著提高监测概率α 或大幅提高罚款d,使得α*d>b,则企业预期违规得不偿失,理性选择完全合规(合规概率趋近100%)。换言之,存在一个监管强度阈值,当监督概率超过某临界值时,企业的最佳响应由混合转为纯策略,全然遵守以避免高额惩罚。即越频繁的检查通常带来更高的合规率。监管者可以利用这一关系,通过提高违规成本来降低对高频检查的依赖,从而更经济地实现较高的环境保护遵从度。
2)低监督低罚则企业倾向违规。如果监测概率很低,处罚力度也轻,使得α*d<b,企业会发现违规的预期收益高于守法支出,则倾向于冒险违规。在极端情况下(几乎不检查或罚款很低),博弈均衡将趋向企业始终违规、环境保护组织也几乎不检查的恶性循环,环境规定形同虚设。
3)临界均衡与策略弹性。在α*d=b 的临界情况下,企业和环境保护组织都采用混合策略。一方面,通过该临界公式可以推导企业合规概率随监管参数变化的弹性;另一方面,也可以分析企业内在参数变化对阈值的影响,如新的环境保护技术降低了合规成本b,则使得原本需要的监测概率阈值下降,企业更容易自发遵守。组合策略(提高罚金+适度抽查或提供补贴降低企业合规成本)往往比单纯频繁检查更高效。
3.1 结论
深海矿产资源开发具有重大经济潜力,但其伴生的环境外部性必须得到有效管控和内部化。本文采用多层博弈分析的方法,对海管局与资源开发企业间的环境税博弈,以及资源开发企业、环境保护组织、海管局三方间的策略互动进行了研究,分析了环境税费机制对深海采矿环境成本内部化的影响机理。主要结论如下所述。
1)环境税的引导作用。在海管局-企业的Stackelberg 博弈模型中,适度的环境税率能够将环境损害成本纳入企业决策函数,促使其在均衡时降低开采强度并增加环境保护投入。结果表明,当环境税率等于每单位污染的边际社会损失时,可实现帕累托最优的纳什均衡,企业产量和减排努力达到社会最优。这证明了“污染者付费”原则在深海采矿治理中的适用性,即通过征税可纠正市场失灵,将环境外部性内部化到企业成本中。
2)复合激励的威慑效果。在企业-环境保护组织-海管局三方博弈中,引入履约保证金和阶梯式污染税等机制显著提高了企业违规的预期成本,使“合规”成为企业的理性选择。分析显示,只要履约保证金和超标罚率足够高,即使环境保护组织的监督概率不是很高,也能有效威慑企业违规;环境保护组织的介入进一步提高了违规被发现的监测概率,强化了威慑效果。因此,多方参与、组合激励的制度设计能改变企业的收益-风险对比,促使其自觉遵守环境标准。这也印证了现实中各方的呼声:在深海采矿规则中建立严格的环境责任和担保条款对于规范企业行为是必要且有效的。
3)制度设计需系统集成与动态优化。深海采矿的环境成本内部化机制应作为一个有机系统来设计,包括税费、履约保证金、监督、基金等环节的衔接配合,并在实践中根据效果反馈动态调整。
3.2 建议
基于以上理论分析和实证结果,深海矿产资源开采环境成本内部化机制的设计应注重多层次政策工具的组合运用和动态优化,据此提出以下政策建议。
1)实施“特许权使用费+环境税”的组合政策。采用基础资源使用费和附加环境税费并行的模式,将资源利用收益共享与环境外部性补偿相结合。一方面,通过特许权使用费保障深海资源开发收益在国际社会间公平共享;另一方面,引入专门的环境税(或环境补偿费),将生态损害成本内部化,所得资金用于海洋环境修复和保护。这种组合政策兼顾了发展和保护两方面,有助于平衡开发者收益和环境治理资金需求。参照目前对开发规章设定的特许权使用费模式主要为“3%从价特许权使用费”,并在商业开采初期给予2%起步、后期上调至3%的过渡机制。深海采矿过程中,建议设定从价特许权使用费范围为2%~4%,其中,前期采用2%鼓励投入,中后期逐步上调至3%~4%,以增强制度的激励与调控兼容性。
2)完善履约保证制度与累进惩罚机制。建立健全的履约保证金制度,要求承包者在采矿许可前缴纳足够的履约保证金,并明确违规情形下履约保证金扣罚规则。同时,在环境税费上采用阶梯式累进征收,对超过许可排放的行为征收远高于正常水平的惩罚性环境税率。这种“事前担保+事中高罚”的机制设计能够大幅提高企业违规成本,在有限的监测概率下仍能起到强威慑作用。正如前文博弈分析所述,足够高的履约保证金和超标罚率可在较低监测概率下促使企业选择合规。参考海管局对《执行合同中的履约保证机制》的要求,企业在签署勘探或开发合同时需缴纳履约保证金用于应对潜在违规行为与环境恢复责任。履约保证金应以年度项目计划投资额的5%~10%为基准,或不低于项目预计环境修复成本的30%。同时应引入动态调整机制,若企业过往环境保护合规记录较差或区域生态敏感性较高,则提高履约保证金额度。
3)引入独立监督和信息透明体系。支持和鼓励独立的第三方(如环境保护组织、科研机构)参与深海采矿活动的环境监督。建立举报和奖励机制,对于提供违规线索的机构或个人给予奖励,提高企业违规行为被揭露的监测概率和后果。增强信息披露要求,定期公布环境监测数据和企业履约情况,借助公众监督力量促使企业自律。这将有效弥补监管机构信息获取的不足,形成“政府监管+第三方监督”的合力。
4)设立海洋环境基金并推动技术创新。将征收的环境税费和没收的履约保证金等资金纳入专门的海洋环境基金,用于深海生态系统研究、环境修复和应急预案等。同时,积极支持深海采矿减污降碳技术和生态修复技术的研发,如研发低扰动的采矿装备、改进尾矿处理技术等。通过经济激励和政策引导,促进企业持续降低单位环境影响,使环境成本内部化水平和技术进步相辅相成。
5)动态调整和国际协作。深海采矿治理是一项全新的全球实践,需要在执行中不断总结经验、调整完善。建议海管局在规章实施后定期评估环境税费制度的执行效果,包括基金筹资规模、企业合规率和海洋环境状况等,根据评估结果适时调整环境税率水平或履约保证金规模,实行自适应治理。同时,各国应加强合作与信息共享,支持海管局权威地位,共同完善国际规则,防止出现规避监管的“漏洞”。通过多边协商确保环境成本内部化机制在全球范围内公平适用,避免逐底竞争。
第一作者简介
江勇:男,汉族,江苏南通人,博士,硕士生导师,主要从事深海矿产资源经济与政策等方面的研究工作。单位:中国地质大学(北京)。
通讯作者简介
雷涯邻:女,汉族,湖北江陵人,博士,教授,主要从事资源环境经济与政策方面的研究。单位:中国地质大学(北京)。
引用格式
江勇,雷涯邻.基于多层博弈的深海矿产资源开采环境成本内部化研究[J].中国矿业,2025,34(10):57-67.JIANG Yong, LEI Yalin.Research on internalization of environmental costs in deep-sea mineral resource exploitation based on multi-layer game theory[J].China Mining Magazine,2025,34(10):57-67.