中国矿业大学桂夏辉团队:纳米气泡强化微细粒浮选动力学试验研究
来源:矿冶集团信息研究中心 时间:2025/11/24 9:51:54

随着战略性矿产资源日趋呈现“贫、细、杂”特征,微细粒浮选已成为资源高效回收的关键难题。纳米气泡凭借其独特性质,在强化微细粒浮选方面展现显著潜力,但其与浮选颗粒的适配机制尚不明确。中国矿业大学桂夏辉团队结合微纳气泡发生系统、纳米粒子追踪分析及浮选动力学试验,系统探究了操作参数对纳米气泡特性的调控规律,以及纳米气泡对微细粒煤浮选效果的强化作用。研究结果表明,增大系统压力和进气量可显著提高纳米气泡浓度和粒径,从而提升浮选回收率和速率常数。对于D50 介于10.11~32.06 μm 的微细煤粒,回收率提升幅度超过20%,浮选速率常数提高4 倍以上。其强化机制可能是源于纳米气泡诱导微细粒形成絮团,有效增大表观粒径,从而显著提升颗粒-气泡碰撞概率。对于D50 为100.8 μm 的较粗颗粒,浮选强化效果相对有限。研究结果为微细粒纳米气泡技术开发提供了重要的理论支撑和工艺优化方向。相关成果发表于矿冶期刊群《有色金属(选矿部分)》2025年第9期,题目:纳米气泡强化微细粒浮选动力学试验研究,作者:姜涵悦,杨海昌,邢耀文,曹亦俊,桂夏辉。

1.jpg

扫码下载文章



1 研究背景

战略性矿产资源是支撑新兴产业和国防安全的关键物质基础。在全球产业格局重构的背景下,各国对战略性矿产资源的争夺日趋激烈,导致资源价格波动风险加剧。随着高品位矿产资源逐渐枯竭,“贫、细、杂”矿石占比持续攀升,深度磨矿解离工艺的广泛应用使得分选粒度下限不断降低。然而,传统浮选技术存在显著的粒度效应,其最佳分选区间通常为10~ 200 μm,难以满足微细粒矿物高效回收的需求。

纳米气泡技术为解决微细粒分选难题提供了新思路。研究表明,纳米气泡能显著提升颗粒- 气泡捕获效率。这类固- 液界面形成的亚微米级气泡,其至少有一维尺寸小于1 μm,具有比表面积大、界面接触角大、稳定性高等独特物理化学性质。目前,纳米气泡在煤炭、磷酸盐、白钨矿、黄铜矿等矿物浮选中已展现出显著优势。学者们一致认为,纳米气泡通过促进颗粒- 气泡间碰撞与黏附,发挥“二次捕收剂” 作用,可降低浮选药剂消耗并提高回收率。

尽管已有研究证实纳米气泡对粗、细颗粒浮选具有强化作用,但其对不同粒级颗粒的差异化影响尚不明确。本研究系统考察了操作参数(进出口压力、进气量、静置时间等)对纳米气泡特性的调控规律,深入解析了纳米气泡性质与浮选性能的构效关系,重点揭示了纳米气泡对不同粒径煤粒的强化分选机制。研究成果将为微细粒矿物高效分选提供重要理论基础和技术支撑。



2 试验样品及方法


2. 1 试验样品

试验所用煤样为神华宁煤太西选煤厂提供的超纯煤。原始煤样经过破碎、筛分获得<0.5 mm的初始样品。为系统研究纳米气泡对微细粒煤的浮选强化效应,使用JM-1L 型搅拌磨机(磨矿介质为氧化铝陶瓷球)对样品进行精细磨矿,通过精确调控磨机转速和磨矿时间获得不同粒级产物。磨矿完成后,样品依次经压滤脱水、烘干处理及标准制样流程,最终制备出符合要求的试样用于粒度分析和浮选动力学试验。


2. 2 试验方法

2. 2. 1 纳米气泡表征

采用纳米粒子追踪分析技术(NTA,NanoSight NS300,Malvern)对微纳气泡的粒径分布及数量浓度进行定量表征。该技术基于布朗运动原理和动态光散射理论,可实现对10~2000 nm 气泡的高精度检测。具体试验过程如下:在恒温25 ℃条件下,使用注射泵以恒定流速将微纳气泡水溶液注入样品池。405 nm 激光源(功率70 mW)照射下,气泡因布朗运动产生特征散射光信号,通过高灵敏度CCD相机(参数设置:相机级别14,阈值5)实时记录运动轨迹,并基于 Stokes-Einstein 方程计算气泡粒径分布及数量浓度。

2. 2. 2 纳米气泡制备

本研究采用水力空化法制备纳米气泡溶液,试验装置选用OXYDEEP-table-0.3 型微纳气泡发生器(南京天祺超氧科技有限公司)。该设备可精确调控进出口压力、进气量等参数。在具体操作过程中,首先向烧杯中加入800 mL去离子水,随后将气泡发生器的进水口与出水口同时置于烧杯水体中,确保形成封闭循环通路。开启气泡发生器并逐步调节相关参数, 在稳定运行状态下使系统连续运行一定时间,促使水体内部形成高浓度、稳定分布的体相纳米气泡。

2. 2. 3 浮选动力学试验

本试验在XFDIII-1L 型实验室浮选机上进行, 试验条件设定为矿浆浓度80 g/L,仅添加200 g/t 仲辛醇作为起泡剂,不添加捕收剂,空气流速控制在0.1 m3/(m2 • min),叶轮转速固定为1800 r/min。具体操作过程如下:首先量取800 mL体相纳米气泡水并置于烧杯中,加入80 g 煤样并充分搅拌混合,随后将矿浆转移至浮选槽并补加去离子水至1 L 刻度线; 开启浮选机调浆2 min 后,加入起泡剂并补充适量水, 开启气阀开始浮选,分别于0. 5、1、2、3 和5 min 五个时间点收集泡沫产品,最后对各时段产物进行过滤、干燥、称重处理。试验流程如图1 所示。

2.jpg

图1 试验流程

浮选数据采用浮选动力学一阶矩形分布模型(式(1))进行拟合。

3.jpg

式中,εt 为浮选回收率,%;ε为理论最大回收率,%;k 为浮选速率常数;t 为浮选时间,s。

2. 2. 4 样品粒度分布测试

采用马尔文2000 MS型激光粒度仪对磨矿前后的煤样进行粒度分布分析,测试过程中设定煤粒折光率为1.62,以去离子水(折射率1.33)作为分散介质。每个样品均进行3 次重复测量和3 组平行试验以确保数据可靠性。针对磨矿后煤样粒度较细的特性,试验采用湿法进样方式:首先将适量煤样与去离子水混合搅拌形成均匀悬浮液,随后注入粒度仪湿法循环池, 通过实时调节样品浓度和搅拌速率使遮光度稳定在10%左右,最后进行测量并记录数据。通过调节磨矿参数,成功制备了D50分别为10.11、21.89、32.06 和100.80 μm 四种不同粒度的超细煤颗粒(图2),这些样品将用于后续浮选试验研究。

4.jpg

图2 不同磨矿条件下煤样粒度分布



3 试验结果分析


3. 1 纳米气泡性质对微细粒煤浮选效果的影响

本节通过改变微纳气泡发生器的运行参数(包括进出口压力、进气量)以及悬浮液静置时间,系统考察纳米气泡浓度、尺寸等关键性质对浮选效果的影响规律。

3. 1. 1 压力与进气量对纳米气泡性质及浮选效果的影响

图3(a)和3(b)分别展示了在100 mL/min 和300 mL/min 两种进气量条件下,微纳气泡发生器进出口压力(0.1~0.4 MPa)对浮选动力学的影响规律。图中标记为试验数据,实线为式(1)的拟合曲线。结果表明,在所有工况下,精煤回收率均呈现典型的浮选动力学特征,即初期快速上升后逐渐趋于平稳,这一过程可通过一阶浮选动力学模型(式(1))准确描述。值得注意的是,模型拟合优度R2 均超过0. 99,表明该模型能很好地表征本研究的浮选动力学过程。

5.jpg

图3 不同压力及进气量条件下的微细粒煤浮选动力学数据及拟合曲线:(a)进气量100 mL/min;(b)进气量300 mL/min

对不同进气量及不同压力下的浮选效果进行定量分析,结果如图4(a)所示。当进气量为100 mL/min 时,随着进出口压力从0.1 MPa 提升至0.2、0.3、0.4 MPa,浮选回收率从70.24%分别增加至75.15%、80.71%、85.69%,浮选速率常数k 从2.88 分别增加至3.15、3.29、3.51。很显然,在固定进气量条件下,提高系统压力可有效改善浮选效果。当进气量增加至300 mL/min 时,在相同压力范围内,浮选回收率从74.27%分别提升至79.03%、83.01%、88.90%,浮选速率常数k 由3.04 分别增至3.32、3.66、4.39。与100 mL/min 工况相比,300 mL/min 进气量条件下的浮选回收率和浮选速率常数均有明显提高,显示出进气量增加对浮选过程的显著促进作用。上述结果表明,在试验参数范围内,同时增加进气量和系统压力能够产生协同效应,更大幅度地提升浮选效率。

图4(b)对比分析了不同进气量(100 mL/min 和300 mL/min)及进出口压力(0.1~0.4 MPa)条件下纳米气泡的粒径分布特征与浓度变化。当进气量为100 mL/min时,随着压力从0.1 MPa升至0.4 MPa,纳米气泡平均粒径由74.3 nm增至100.4 nm,气泡浓度则由1.23×106个/mL显著提升至2.21×107个/mL, 增幅达一个数量级。值得注意的是,当进气量提高至300 mL/min 后,在相同压力范围内,纳米气泡平均粒径从86.5 nm 增大至212.6 nm,气泡浓度从1.89×106个/mL 急剧上升至1.86×108 个/mL,展现出更为显著的倍增效应。

上述结果表明,一方面,在固定进气量条件下,增大系统压力可有效促进纳米气泡的生成;另一方面, 提高进气量能够更大幅度地增加气泡粒径和浓度。这种纳米气泡特性的显著改善,特别是气泡浓度的数量级提升,为解释浮选回收率和速率常数的提高提供了直接依据,说明纳米气泡的粒径和浓度变化是影响浮选效率的关键因素。其作用机理可能在于:高浓度纳米气泡通过桥接效应促使微细煤粒形成稳定絮团,增大表观粒径,有效提升了颗粒与气泡的碰撞概率,从而克服了微细粒浮选的关键技术瓶颈。

6.jpg

图4 不同压力及进气量条件下的浮选效果及体相纳米气泡性质:(a)微细粒煤颗粒浮选回收率及浮选速率常数k;(b)体相纳米气泡平均粒径及气泡浓度

3. 1. 2 静置时间对纳米气泡性质及浮选效果的影响

在微纳气泡发生器进出口压力保持0.4 MPa、进气量恒定300 mL/min 的条件下,制备纳米气泡水并进行不同时长(2、10、20、30 min)的静置处理,随后开展浮选动力学试验。图5 所示的试验结果表明,不同静置时间(2、10、20、30 min)对应的精煤回收率分别为89.02%、91.89%、91.58% 和90.58%,浮选速率常数k 则分别为4.39、4.92、4.70 和4. 65。随着静置时间的延长,浮选回收率和速率常数均呈现先小幅上升后轻微下降的趋势,但整体波动幅度较小,表明静置时间对浮选效果的影响较为有限。

7.jpg

图5 不同静置时间下微细粒煤浮选结果:(a)精煤累计回收率随浮选时间的变化;(b)浮选回收率及浮选速率常数k

图6 展示了相同条件下体相纳米气泡的平均粒径和浓度变化规律。试验测得不同静置时间(2、10、20、30 min)下,纳米气泡平均粒径分别为189.6、213.8、190.5 和203.7 nm,浓度分别为1.23×108、1.88×108、1.65×108、1.46×108 个/mL。统计分析表明,纳米气泡平均粒径稳定在200±10 nm 范围内, 浓度维持在(1.5±0.4)×108 个/mL,这一结果进一步证实了纳米气泡体系具有较好的时间稳定性。这可能是静置时间对浮选效果影响不显著的内在原因。

8.jpg

图6 不同静置时间下体相纳米气泡性质:(a)体相纳米气泡的NTA显微图像;(b)体相纳米气泡的平均粒径及气泡密度

需要指出的是,微纳气泡发生器所制备的气泡水实际上是纳米气泡与微米气泡的混合体系。其中,纳米气泡凭借其特殊的物理化学性质能够在溶液中长期稳定存在,而微米气泡则因浮力作用逐渐上浮并消失。本研究结果不仅再次验证了体相纳米气泡具有优异的时间稳定性,同时揭示了预生成气泡水中纳米气泡的粒径分布和浓度对浮选强化过程的关键作用。值得注意的是,与传统浮选设备(如机械搅拌式浮选机或微泡浮选柱)中通过叶轮剪切或微泡发生器原位产生的微气泡不同,本研究采用的预生成微气泡因其稳定性较差,对浮选过程的贡献远不及纳米气泡显著。


3. 2 纳米气泡对不同粒径微细粒煤颗粒浮选效果的影响

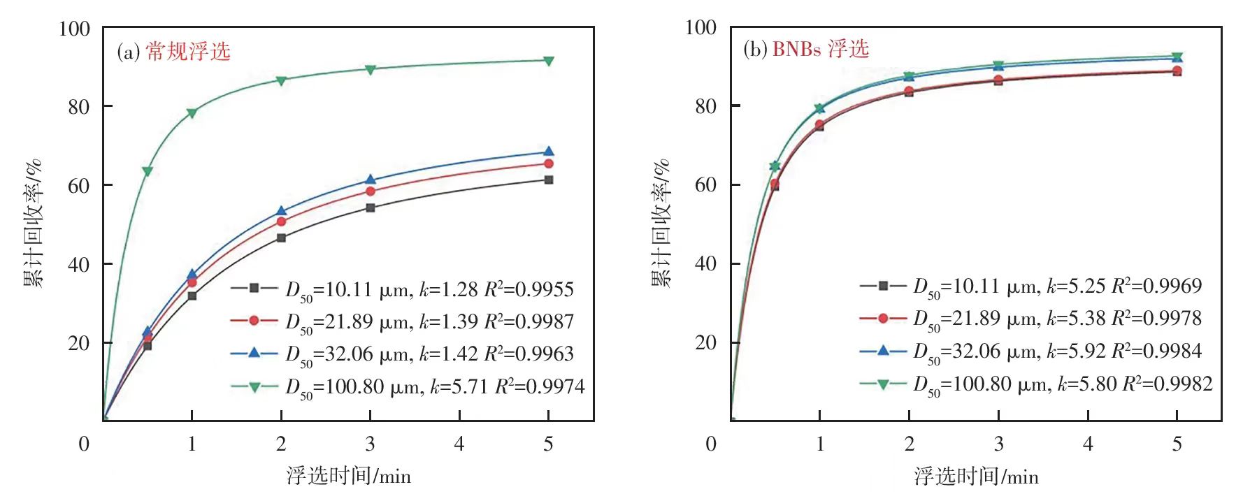
在固定操作参数(进出口压力0.4 MPa、进气量300 mL/min、静置时间10 min)条件下,本节将系统考察纳米气泡对四种不同粒级煤样(D50分别为10.11、21.89、32.06 和100.80 μm)浮选行为的影响机制。图7(a)和7(b)分别展示了常规浮选与纳米气泡浮选条件下,精煤累计回收率随时间的变化规律。随着浮选时间的延长,精煤累计回收率均呈现先快速上升后逐渐趋缓的规律。整体而言,不同粒级样品的精煤回收率和浮选速率随粒径增大而提高,这可能是由于颗粒粒度减小时,颗粒与气泡的碰撞概率降低,从而导致浮选效率下降。值得注意的是,当粒度过粗时,颗粒易从气泡表面脱附,同样会引起浮选效率降低。然而,在本研究中,最粗煤样的D50约为100 μm,正处于浮选效率较高的适宜粒度区间。

9.jpg

图7 不同粒径煤样的浮选动力学试验结果:(a)常规浮选;(b)纳米气泡浮选

对图7 中的试验数据进一步处理,获得了不同粒级煤样在常规浮选和纳米气泡浮选条件下的最终精煤回收率和浮选速率常数,结果如图8(a)所示。结果表明,在常规浮选中,随着煤样D50从10.11 μm 增至100.80 μm,精煤回收率由61.23%提升至91.58%,浮选速率常数k 则由1.28 增至5.71。值得注意的是, 值在10~30 μm 粒径范围内变化较小(1.28~1.42), 而在100 μm 时骤增约3 倍。相比之下,纳米气泡浮选表现出更优异的性能:在相同粒径范围内,回收率始终维持在88.56%~92.62%的较高水平,k 值则稳定在5.25~5.92,表明纳米气泡能使各粒级均达到较高的浮选效率。

进一步计算纳米气泡浮选相对于常规浮选的提升幅度(图8(b)),可得到两个关键结论:1)在所有粒径条件下,回收率和k 值的增量均为正值,验证了纳米气泡对不同粒级煤样均具有强化效果;2)强化效果随粒径增大而逐渐减弱。这种粒径依赖性可能源于以下机制:对于粗颗粒(D50=100.8 μm),其本身已具备较高的气泡碰撞概率和黏附效率(常规浮选回收率已达91.58%),因此提升空间有限;而对于微细颗粒(D50=10~32 μm),尽管本研究中的超低灰特性保证了良好的气泡黏附性能,但过小粒径导致的低碰撞概率成为限制浮选效率的关键因素。纳米气泡通过促进微细颗粒絮凝、增大表观粒径,从而显著提高颗粒-气泡 碰撞概率,这正是其对细粒煤浮选强化作用尤为显著的根本原因。

10.jpg

图8 不同粒径煤样在常规浮选和纳米气泡浮选下的浮选效果对比:(a)浮选回收率ε 及浮选速率常数k;(b)与常规浮选相比,纳米气泡浮选的精煤回收率和速率常数的增加值



4 结论

本研究系统探究了纳米气泡特性对微细粒煤浮选行为的调控机制,发现随着微纳气泡发生器进出口压力与进气量的增加,体相纳米气泡的平均粒径和浓度增大,使浮选精煤回收率和浮选速率常数显著提升;纳米气泡溶液静置试验表明,纳米气泡具有优异的稳定性(NTA结果显示粒径稳定在200±10 nm,浓度维持在(1.5±0.4)×108个/mL),其浮选性能基本不受静置时间(2~30 min)影响;对于微细粒煤(D50=10.11~32.06 μm),纳米气泡浮选使回收率提升20%以上、速率常数提高4 倍以上,有效突破细粒级回收瓶颈,而对粗颗粒(D50=100.80 μm)强化效果有限。这些发现为微细粒矿物资源的高效浮选回收提供了重要的理论支撑和技术指导。


  • 行业动态

  • 成果展示