中国矿业大学张海军教授团队:捕收剂和界面纳米气泡协同强化石墨浮选的研究
来源:矿冶集团信息研究中心 时间:2025/11/28 14:56:21

界面纳米气泡在浮选矿浆中细粒乃至超细粒矿物的辅助分选过程中,可发挥关键作用。捕收剂作为浮选最核心的药剂之一,不同种类、不同用量的捕收剂对界面纳米气泡成核及颗粒- 气泡相互作用的影响,目前尚未得到深入系统的研究。研究通过以下方式展开:一是系统量化不同链长烷烃捕收剂,对HOPG(高定向热解石墨)与宏观气泡间相互作用力的调控作用,并对比其浮选效果;二是分析“存在/ 不存在纳米气泡”条件下的聚集体尺寸,结合不同条件下测得的作用力曲线,考察不同捕收剂及不同用量在有无纳米气泡时的电极材料浮选动力学试验。结果表明,1)纳米气泡存在时,石墨聚集体尺寸显著增大;黏附力测量显示,表面附着的纳米气泡可增强颗粒与气泡间的长程吸引力,加速液膜薄化与破裂,大幅提升颗粒- 气泡黏附效率,进而提高石墨可燃体回收率;2)随着捕收剂浓度增加,石墨浮选可燃体回收率同样得到改善。综上,捕收剂与纳米气泡可产生协同作用,有效提升电极材料(石墨、钴酸锂)的浮选分离效果。相关成果发表于矿冶期刊群《有色金属(选矿部分)》2025年第9期,题目:捕收剂和界面纳米气泡协同强化石墨浮选的研究。作者:张雅婷,覃昱玮,李晓东,李臣威,张海军。

1.jpg

扫码下载文章



1 研究背景

界面纳米气泡是指存在于固液界面区域的纳米级密闭气体域,呈球冠状,其高度为数纳米至数十纳米,横向尺寸可达数十至数百纳米。凭借其高比表面积、特殊的接触角特性、长寿命及高稳定性等独特的物理化学性质,界面纳米气泡已成为国内外研究的热点。界面纳米气泡概念的提出可追溯至1994 年,PARKER等在研究浸没于水中的两个中性疏水表面间作用力时,首次推测存在表面纳米气泡。其依据是试验中观测到的力曲线不连续性,该现象被归因于表面间存在的微观尺度气态结构。因仪器的限制无法直接得出界面纳米气泡的图像,自从被推测以来界面纳米气泡的存在性就广受质疑,1997 年,LJUNGGREN等基于亨利定律和扩散理论,预测纳米气泡寿命为1~100 μs,否定了Parker 的猜测,直至2000 年LOU等利用原子力显微镜(AFM)首次在新鲜云母表面直接观察到纳米气泡,直接证明了界面纳米气泡的存在。随后日本科学家ISHIDA 等在疏水修饰硅表面上观察到纳米气泡图像,进一步证明了其存在。随着设备仪器和表征手段的发展,学者们对纳米气泡的研究也逐渐深入,表面纳米气泡独特的性质如小尺寸、低密度、高稳定性等被人们所熟知。研究表明,纳米气泡在多种环境下表现出显著的稳定性。HEWAGE等发现,不同离子类型的溶液中,纳米气泡可稳定存在一周以上且尺寸无明显变化。进一步地,BUI 等证实,即使在高温、降压或存在不同化学试剂的条件下,纳米气泡的ζ 电位也保持稳定,这为其超常稳定性提供了关键证据。纳米气泡具备与理论预测相悖的超长稳定性,这一特性始终是科研领域的研究热点,同时也充分彰显了其在矿物加工泡沫浮选中的巨大应用潜力。

浮选药剂的选择是决定浮选分离效率的关键因素。近些年的研究表明,浮选药剂通过界面吸附可显著调控表面纳米气泡(SNBs)的生成与稳定性,从而改善浮选效果。其中,表面活性剂则主要作用于气-液 界面,通过定向吸附显著降低溶液表面张力并调控泡沫结构特性。其分子在气泡表面形成的紧密吸附层不仅能增强液膜强度、抑制液膜排液,显著提升泡沫稳定性,更能通过调控气泡尺寸分布与上升速率,优化浮选动力学过程。NIRMALKAR等在2018 年研究发现,表面活性剂添加剂的选择,会通过显著改变界面边界的化学结构特征与表面电荷分布,深刻影响纳米气泡的寿命及其相互作用动力学。同年, NIRMALKAR等进一步发现,阴离子表面活性剂可在纳米气泡界面诱导产生高密度表面电荷,这一作用不仅能促进纳米气泡的静电稳定,还能有效抑制气泡间的融合过程。在浮选药剂体系中,捕收剂通过特异性吸附于目标矿物表面,可增强矿物疏水性,并显著扩大目标矿物与脉石矿物的润湿性差异;其中,直链烷烃在浮选捕收剂体系中,展现出优异的选择性与环境适应性。康文泽等证实正十四烷、正十五烷对石墨的精选效果最佳,精矿产率分别为54.15%、51.55%,其温度适应性及分选效率均优于芳香烃和煤油;该结论进一步支持康和何等的早期研究,即正十三烷(C13)与苯己烷(C12)分别在碳原子数13 和12 时精矿产率最高,且低药剂用量下碳链长度影响显著。此外,LIAN 等创新性将纳米气泡引入浮选使其与药剂分子发生协同作用,进一步提高矿物的浮选性能,开发微乳捕收剂-CO2 纳米气泡协同工艺,以3.5 kg/t 微乳捕收剂(柴油用量的40%)及40% CO2 纳米气泡水比例,实现低阶煤浮选灰分12.05%、可燃物回收率83.97%,显著降低了药剂消耗。

纳米气泡能通过调控颗粒间(颗粒-颗粒)及颗粒-气 泡间的相互作用,显著强化微细粒浮选效率。捕收剂作为浮选体系的核心药剂,其在矿物表面的吸附行为,将直接影响纳米气泡的成核环境与稳定性。然而,纳米气泡与捕收剂在固-液界面的协同作用机制,尤其是二者在界面力作用过程(如颗粒-气泡黏附)中的耦合效应,目前尚未明晰。

本研究通过以下对比试验展开:一是分析“有无纳米气泡”及“不同种类捕收剂”对石墨聚集体表观尺寸、HOPG与气泡间相互作用力的影响;二是对比“有无纳米气泡”及“不同碳链捕收剂协同作用”下的可燃体回收率。最终揭示了捕收剂与纳米气泡协同强化微细粒浮选的机理,为实现纳米气泡对微细粒矿物的高效浮选分离提供了支撑。



1 试验材料与研究方法


1.1 试验材料

试验采用购自江苏南京先丰纳米公司的高定向热解石墨(Highly ordered pyrolytic graphite,HOPG,5 mm×5 mm×1 mm,XFH08)作为基底样品,其镶嵌角为0.8°±0.2°。每组试验前,用胶带剥离法去除HOPG表层,选用新暴露的表面作为基底,以确保其清洁度。采用正戊烷(C5H12)、正十二烷(C12H26)、正十六烷(C16H34)作为捕收剂,所有试剂均购自上海麦克林生化科技有限公司。


1.2 纳米气泡生成

利用温差诱导气体过饱和生成界面纳米气泡。首先,将超纯水在4 ℃、常压条件下非密封储存至少72 h,使其溶解气体达到接近饱和的平衡状态。保持初始温度(4 ℃),随后通过控温水浴锅升温至不同的预设终点温度。该升温过程导致气体溶解度降低,从而在固液界面处产生不同气体过饱和度,进而驱动界面纳米气泡的形成。


1.3 不同气体过饱和度对石墨聚集体尺寸的影响

采用瑞士MET公司生产的聚焦光束反射测量仪(FBRM,FBRMG400)测量浆料中石墨聚集体的累计弦长分布。首先,使用常温条件下的超纯水配制600 mL浓度为80 g/L 的石墨矿浆,用磁力搅拌器搅拌15 min,搅拌转速为800 r/min,15 min 后将FBRM探头插入矿浆中开始测量,待测量结果稳定后储存数据。随后使用4 ℃环境下非密封储存72 h 以上的超纯水配制同样浓度和体积的石墨矿浆置于磁力搅拌器上搅拌,利用加热装置对其加热,设定终点温度分别为20、25、30 ℃,待搅拌完成并且矿浆温度升温至设定值后,测量石墨聚集体累计弦长分布。每个条件测量3 次以上。


1.4 捕收剂种类对石墨聚集体尺寸的影响

分别使用常温水和在4 ℃非密封环境下储存超过72 h 的超纯水,配制600 mL浓度为80 g/L 的矿浆溶液。向两种矿浆中分别添加400 g/t 的正戊烷、正十二烷和正十六烷。随后将矿浆置于磁力搅拌器上搅拌15 min。对于使用冷水配制的矿浆,用加热装置将其加热至20 ℃,待搅拌完成并且矿浆温度稳定在设定温度后,使用FBRM测量其中石墨聚集体的尺寸。


1.5 黏附力测量

为了研究纳米气泡与捕收剂存在对HOPG-气泡间相互作用力的影响,使用视觉多功能张力计(JQ03E PRO,上海中辰数字技术设备有限公司)进行HOPG-气泡间黏附力的测量。首先分别配制浓度为0.4 mmol/L 的正戊烷、正十二烷与正十六烷捕收剂溶液。将配制好的捕收剂溶液置于磁力搅拌器上,以800 r/min 搅拌15 min,随后超声处理5 min,以确保药剂分子充分分散。将HOPG基片浸入处理后的捕收剂溶液中,静置30 min 完成吸附。吸附完成后,依次用乙醇和超纯水清洗基片,去除表面多余药剂,随后自然干燥备用。

试验步骤如下:在针头处产生气泡,固定气泡体积为15 μL,并通过恒定液面高度消除浮力的影响。设定平台以0.1 mm/s 的速度进行往复运动,上升与下降位移均为3.4 mm。首先,在液体环境中测量固定体积气泡在设定位移下靠近和远离HOPG基片的作用力数据,作为基底力曲线。随后,在考察不同气体过饱和度对HOPG-气泡间相互作用力的试验中,将每次测量的作用力数据均扣除该基底力曲线,从而得到捕获气泡与HOPG基底黏附力的曲线,平台上升过程对应靠近曲线,平台下降过程对应远离曲线。


1.6 浮选试验

使用自制的体积为800 mL的Hallimond 管进行浮选试验。浮选给料为石墨与钴酸锂的混合物料,二者质量比设定为4∶1,用于模拟废旧锂离子电池的电极材料。试验步骤如下:使用室温水或冷水(本研究所提及冷水都为在4 ℃条件下非密封环境下储存超过72 h 的超纯水,下同)与混合物配成浓度为80 g/L 的矿浆,然后置于磁力搅拌器上以800 r/min 搅拌2 min 进行预润湿,冷水升温至30 ℃。随后将矿浆转移至Hallimond 浮选管中,转移完成后添加捕收剂(正戊烷、正十二烷与正十六烷),用量分别为200、300 和400 g/t,搅拌2 min 后加入100 g/t 的仲辛醇作为起泡剂,随后继续搅拌2 min。然后开启充气泵以36 mL/min 的充气量向浮选柱内充气,浮选时间分别为2、4、6 和8 min,浮选完成后对精矿进行过滤、干燥,并且用马弗炉化验灰分。



2 结果与讨论


2.1 不同气体过饱和度对石墨聚集体尺寸的影响

石墨的累计弦长分布结果如图1 所示,常温超纯水条件下石墨聚集体的D50 为14.79 μm,冷水升温至20、25 和30 ℃后,D50分别增加到了22.38、29.51、38.90 μm。石墨聚集体的表观尺寸在冷水升温大于常温水条件,并且目标温度越高,石墨聚集体尺寸越大。这是因为冷水升温后,矿浆中的气体过饱和,会导致气体在固液界面积聚成核,最终形成纳米气泡。石墨颗粒表面的纳米气泡通过桥接作用促使石墨颗粒团聚。随着设定温度升高,气体过饱和度增加,会生成更多的纳米气泡,团聚发生的概率以及团聚的颗粒越多,因此石墨聚集体尺寸随着温度升高而增大。

2.jpg

图1 不同气体过饱和度下石墨的累计弦长分布


2.2 捕收剂种类对石墨聚集体尺寸的影响

在常温超纯水和冷水升温条件下,分别采用不同的捕收剂处理,石墨聚集体尺寸测定结果如图2 所示。在常温水条件下,正戊烷、正十二烷和正十六烷对应的D50值分别为23.98、38.90 和33.88 μm;而在冷水升温条件下,对应的D50 值则分别增大至31.62、44.69 和41.67 μm。随捕收剂碳链长度的增加,石墨表观尺寸呈现先增大后减小的趋势,较长碳链的捕收剂能更显著改善石墨颗粒的疏水性。然而,有研究表明,对于正构烷烃,当碳链过长时,其在矿物表面的铺展能力下降,从而削弱了捕收效果。冷水升温下的石墨聚集体尺寸比常温水条件下大,纳米气泡的存在促使大尺寸石墨聚集体形成,与图1 中冷水升温至20 ℃的石墨聚集体尺寸相比,当捕收剂存在时,纳米气泡成核效率更高,形成的石墨聚集体尺寸更大,这是捕收剂增强了石墨表面疏水性与纳米气泡共同作用的结果。

3.jpg

图2 有无纳米气泡条件下不同捕收剂对石墨聚集体尺寸的影响


2.3 黏附力测量

图3 呈现了“有无正戊烷”及“有无纳米气泡”条件下,HOPG与气泡间相互作用力的测试结果。其中,红色曲线对应捕获气泡的“靠近- 黏附- 挤压”过程(即气泡接近HOPG基板、黏附于基板并被挤压);蓝色曲线对应气泡的“拉伸-脱离”过程(即气泡从最大挤压状态转为被拉伸,最终脱离HOPG基板)。不同试验条件下的作用力数据及分析如下:1)常温超纯水(无捕收剂):跳入吸引力为160.72 μN,脱附过程中最大黏附力为320.75 μN;2)常温水(正戊烷处理HOPG):跳入吸引力增至279.39 μN,最大脱附力增至386.90 μN。这表明捕收剂(正戊烷)的加入可提升基板疏水性,更利于气泡在基板表面黏附;3)冷水升温(加正戊烷,纳米气泡存在):跳入吸引力进一步增至336.40 μN,最大脱附力增至413.57 μN。结果说明,纳米气泡的成核会加速液膜薄化与破裂,进而与捕收剂协同提升气泡与基片间的黏附效果。

4.jpg

图3 正戊烷与纳米气泡协同作用对HOPG- 气泡间相互作用的影响

图4 呈现了“有无正十二烷”及“有无纳米气泡” 条件下,HOPG 与气泡间相互作用力的测试结果,具体数据与分析如下:1)常温超纯水(无捕收剂):跳入吸引力为103.78 μN,脱附过程中最大黏附力为276.55 μN;2)常温条件(正十二烷处理):加入捕收剂正十二烷后,跳入吸引力增至208.72 μN,最大脱附力增至374.16 μN,表明正十二烷可增强HOPG与气泡的相互作用;3)纳米气泡+正十二烷协同作用:二者同时存在时,跳入吸引力进一步增至261.76 μN,最大脱附力增至409.00 μN,说明纳米气泡与正十二烷可协同提升HOPG与气泡间的黏附效果。

5.png

图4 正十二烷与纳米气泡协同作用对HOPG- 气泡间相互作用的影响

图5 呈现了“有无正十六烷”及“有无纳米气泡”条件下,HOPG 与气泡间相互作用力的测试结果,具体数据与分析如下:1)常温超纯水(无捕收剂):跳入吸引力为222.07 μN,脱附过程中最大黏附力为278.91 μN,此为未加捕收剂的基础作用力水平;2)常温条件(正十六烷处理):加入捕收剂正十六烷后,跳入吸引力显著增至369.20 μN,最大脱附力增至341.24 μN,表明正十六烷可有效增强HOPG与气泡间的相互作用;3)纳米气泡+正十六烷协同作用:二者同时存在时,跳入吸引力为308.93 μN,最大脱附力进一步增至403.31 μN,说明纳米气泡与正十六烷协同作用,能进一步提升HOPG与气泡间的黏附效果。

6.png

图5 正十六烷与纳米气泡协同作用对HOPG- 气泡间相互作用的影响

综上所述,随着捕收剂浓度的增加,HOPG基板与气泡间的跳入吸引力和最大黏附力均有不同程度的增加。捕收剂与纳米气泡在颗粒表面产生协同效应,通过缩短HOPG表面的气泡跳入距离、增强跳入吸引力与最大黏附力,显著强化了HOPG与气泡之间的相互作用。


2.4 浮选试验

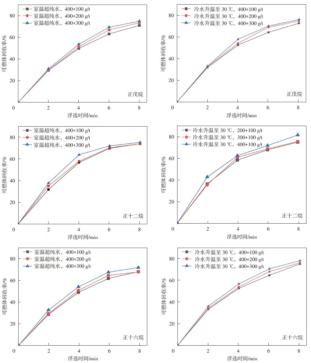
图6 为石墨的可燃体回收率与浮选时间的关系曲线。试验结果表明,石墨可燃体回收率随浮选时间和药剂用量增加而增加。当浮选时间达到8 min 时,常温浮选条件下以正戊烷作为捕收剂,当捕收剂用量为200 g/t 时可燃体回收率为65.23%,当捕收剂用量增至400 g/t 时可燃体回收率达到70.97%;冷水浮选时可燃体回收率则从65.93%增至72.39%。当采用正十二烷作为捕收剂浮选时,常温条件下回收率随着药剂用量200 g/t 的70.43% 增至400 g/t 的75.45%;冷水条件下回收率由72.14%增至78.44%。选用正十六烷作为捕收剂进行浮选,常温条件下当捕收剂用量从200 g/t 增至400 g/t,回收率提高了4%;冷水条件下回收率提高了5%。在常温浮选及纳米气泡浮选过程中,三种药剂对石墨可燃体回收率的改善能力依次为:正十二烷>正十六烷>正戊烷。冷水升温浮选效果较常温条件好,因为纳米气泡可通过桥接作用促进颗粒团聚,增加颗粒聚集体与浮选气泡的有效碰撞概率,提高石墨的可燃体回收率。随着捕收剂碳链的增长,其改善效果有所增加,但过长的碳链会导致药剂分子黏度增加,使得药剂在水中难以分散,不利于药剂在矿物表面铺展,降低浮选效果。

7.jpg

图6 有无纳米气泡条件下不同捕收剂种类及用量对石墨可燃体回收率的影响



3 结论

1)借助冷水升温的方法产生纳米气泡,通过对比常温和冷水升温下石墨聚集体的表观尺寸,发现冷水升温条件下的石墨聚集体尺寸大于常温水条件;测量了气泡与HOPG基板的黏附力大小,结果表明,捕收剂和纳米气泡的协同作用可以提高气泡与HOPG之间的作用力。纳米气泡在颗粒表面的桥接作用,促进了微细粒石墨的团聚,增大了石墨聚集体表观尺寸,从而提高与浮选气泡的碰撞概率,提升浮选效率。

2)在常温和冷水升温条件下,对比不同捕收剂与HOPG作用后的石墨聚集体尺寸和可燃体回收率,在常温条件下,正戊烷、正十二烷和正十六烷对应的D50值分别为23.98、38.90 和33.88 μm;而在冷水升温条件下,对应的D50 值则分别增大至31.62、44.69 和41.67 μm;三种药剂的可燃体回收率:正十二烷>正十六烷>正戊烷。捕收剂碳链的增长虽能提升效果,但过长时分子黏度增大,使其更难分散和铺展于矿物表面,反而不利于浮选。


  • 行业动态

  • 成果展示