瓮福磷矿&矿冶集团:地下磷矿岩体截割性特性与非爆破机械开采工程应用研究
来源:矿冶集团信息研究中心 时间:2025/12/26 10:33:46

深部磷矿资源开采中传统爆破法存在局限性,机械开采方法同样受到复杂地质环境、岩石条件、地应力以及截割参数的影响。为了研究建立岩体可截割性评价体系并验证非爆破机械开采的可行性。本文采用 ABAQUS 数值模拟分析了节理方向对截齿截割力的影响规律,同时开展室内镐型截齿破岩试验,建立了基于强度、岩体完整性和截割比能耗的可截割性分级评价方法。现场应用悬臂式掘进机进行工程验证,结果表明:在 b 类磷矿中实现最高截割效率 20.01 m3/h,与可截割性分级结果预测值误差仅8.97%;截齿单耗1.71 个/m,电耗519.26 kWh/m,验证了分级模型的工程适用性。研究成果为磷矿非爆机械开采提供了理论依据和技术支撑,对深部矿产资源绿色开发具有重要参考价值。相关成果发表于矿冶期刊群《有色金属(矿山部分)》2025年第6期,题目:地下磷矿岩体截割性特性与非爆破机械开采工程应用研究,作者:阮运斌,欧阳伟超,岳小磊,郑志杰。

1.png

扫码下载文章



研究背景

数十年来,爆破采矿一直是非煤矿山主流的开采方法,针对不同矿山开采需求和矿体条件,普遍采用浅孔爆破、中深孔爆破和深孔爆破采矿方式。在全球能源结构转型与矿产资源需求激增的双重驱动下,我国持续加大对固体矿产资源的勘探开发力度,特别是着力提升战略性矿产资源、关键固体矿产资源的开发保障能力,爆破采矿方法由于本身工艺的有害效应和不连续性,已成为制约固体矿产资源纵深发展的客观因素。特别是随着开采深度不断增加,不断劣化的地质条件和深部复杂环境,矿山的本质安全性和绿色高效开采面临着巨大挑战。

磷矿作为一种重要的战略性矿产资源,在农业、化工等领域发挥着不可替代的作用。我国磷矿资源赋存条件复杂,深部矿体占比超 60%,传统爆破开采方式在深部开采中暴露出效率衰减、安全风险攀升等瓶颈。非爆破机械开采技术作为一种绿色、安全的开采方式,近年来受到了广泛关注。尽管非爆破机械开采技术相对爆破开采具有高度机械化、安全高效、绿色环保等诸多优势,但在实际应用中仍面临一些挑战。

在地下磷矿非爆破机械开采中,岩体可截割性分级是一个关键环节。不同的岩体可截割性意味着开采过程中所面临的难度和成本有着显著差异。准确地评估岩体可截割特性,是开采设备选型和开采工艺设计的前提。目前,国内对于悬臂式掘进机镐型截齿的破岩能力关注尚浅,诸如不同岩体特性、截齿参数等对破岩效果的影响研究较少,岩体可截割性评价方法和标准也没有统一的结论。基于此,本文旨在探讨悬臂式掘进机在磷矿山开展机械采掘试验的方法、过程以及结果。结合某磷矿山具体情况,开展不同截割参数数值模拟研究和典型磷矿岩体镐型截齿破岩试验,建立科学合理的可截割性分级指标体系和分级模型,并结合具体的工程案例评估机械开采效果。旨在为地下磷矿的高效、安全、绿色开采提供理论支持和实践指导,推动磷矿开采行业的可持续发展。



1 磷矿岩体镐式截齿截割参数研究

机械截割落矿时,截割头作用于岩石的破岩效果受节理裂隙影响较大,节理裂隙越发育截割效果越好,非煤矿山节理裂隙一般有主控层理方位,这与煤矿有明显区别。因此,需要探讨磷矿岩体节理裂隙发育的掌子面,截割头截割参数与节理裂隙主控方向之间的关系,为在实际截割破岩时针对节理裂隙发育情况,制定合理的截割参数提供依据。


1.1 建立数值模型

基于ABAQUS 有限元分析软件建立边长为150 mm×150 mm×200 mm 的长方体岩石模型,截齿锥角和截割角参数设定为80°和55°,截割厚度设定为9 mm,截割距离根据节理方向的不同一般为100~180 mm,截割速度设定为4000 mm/s。以某磷矿岩体参数为材料属性,抗压强度设置为28 MPa, 抗拉强度2.9 MPa,弹性模量8.3 GPa,泊松比0.3; 节理面设置为无厚度接触,间距36 mm,摩擦系数0.3。截齿与岩石采用硬接触模型,切向摩擦系数0.4,截割区域网格加密至2 mm,非截割区域 5 mm ,总单元数约120000 个。建立的数值模型如图1 所示。

2.png

图1 截齿截割岩石数值仿真模型

岩石的节理面之间距离过小,研究其角度并没有实际的意义,距离过大又变成了层理结构,主要对截割头的破岩力学特性有关。经过多次尝试,将其距离设置为4 倍的截割厚度即36 mm。研究截割方向和岩石节理面方向之间的关系主要有两种情况,如图2 所示。为了研究节理之间的角度影响,根据 图2(a)所示的角度设置为30°、60°、90°、120°和150°,图2(b)所示的情况中90°与图2(a)所示的情况相同,因此主要分为2°~30°和2°~60°两种情况。

3.png

图2 岩石节理面与截齿截割方向几何关系(单位:mm)


1.2 镐型截齿截割破碎岩体数值模拟结果

岩石截割后的数值模型如图3 所示,采用等效塑性应变云图表征岩石截割破碎程度,颜色深度反映塑性变形量大小,蓝色表示未受截割影响的完整岩石区域,无塑性变形;红色表示岩石完全破碎区,对应截齿前方直接作用区域及节理面附近的崩落岩屑;绿色表示塑性变形发展区,显示裂纹扩展路径。部分角度截齿的截割力、法向力和侧向力曲线如图4 所示。全部角度力学参数计算结果统计数据见表1。

4.png

图3 截割过程数值模型

5.png

图4 典型方案岩石截割载荷情况

表1 节理面截割载荷统计参数

6.png

根据图4 截割完整岩石的截割力和法向力载荷曲线显示,截割力大于法向力,法向力约为截割力的30%~40%,结果表明法向力和截割力的比值不仅与岩石性质有关,相关角度对其有显著的影响。截割力和法向力的载荷明显的存在两方面的波动,高频的小波动为小单元破坏引起力学参数的变化,可以理解为小岩屑崩落引起的力学参数变化;较低频率的波动为大块岩屑崩落引起的力学参数的变化。侧向力为在0 上下波动,其平均值接近于0,这主要是因为本模拟使用的是封闭式截割,并没有考虑截槽的影响,因此侧向力为对称波动。

截割力和法向力曲线在截割距离为40 mm 和140 mm 左右为节理面截割,可以看出,该区域的截割力和法向力相对完整岩石截割数值较小,并且力波动频率高,这主要是因为在节理面截割时容易形成岩屑,并且截割方向和节理方向夹角较小,可以判断节理面截割形成的岩屑较为破碎。

综上,截齿轨迹与节理方向垂直、与节理面呈一定角度时,截割轨迹与节理面呈120°破岩时所需的截割力与法向力最小;截齿轨迹与节理面垂直、与节理方向呈一定角度时,随着截割轨迹与节理方向之间的角度不断增大,所需的截割力越来越大。

2 室内镐型截齿破岩试验与可截割性评价


2.1 试验设计与方法

岩体可截割性评价是机械连续开采技术在非煤矿山研究应用的基础与关键。为了建立某磷矿岩体掘进机可截割性分析评价模型,试验设计采用三种岩石材料开展室内镐型截齿破岩试验,分别为a 类磷矿石、b 类磷矿石以及白云岩,全部矿岩材料均为某地下磷矿原位取样加工而成。由于现场磷矿岩体较破碎,加工后的岩样尺寸为长× 宽× 高=60 mm× 60 mm×60 mm,每种材料制备五组,同时采用相同材料制备标准岩石力学试样,以测定矿岩材料的力学性质。岩样制备如图5 所示,岩石力学测试结果见表2。

7.png

图5 试验岩样制备

表2 试验岩样力学测试结果

8.png

镐型截齿破岩试验仪器采用高精度压力实验平台,截齿座和岩石夹具均为可调节机构。镐型截齿采用YG11 型碳化钨合金刀头,平均锥角约80°,由于岩样尺寸限制,且部分岩样破碎程度较高,截割厚度设定为5 mm,为了简化试验条件以及匹配刀具和仪器,截割角设定为0°。需要说明的是,试验开始前采用全新的镐型截齿,试验过程中及时观测刀头磨损情况,若出现明显钝化及时更换截齿,避免影响试验结果。具体实验步骤:1)检查、校正试验设备,将高精度压力机设定为归零状态;2)准备截齿,采用齿尖显微镜检查截齿刀头状态,确保全新无磨损(钝角直径< 0.5 mm);3)将待截割的岩样放置于截齿座,利用螺纹夹具固定岩样,防止截割过程中岩样发生偏移;4)运行实验平台,开启截割试验并采集数据;5)截割完成后,将实验平台调整回归至原位,存储数据并清理岩屑,开启下一试验循环。部分岩样截割试验过程如图6 所示。

9.png

图6 岩样截割试验过程


2.2 试验结果分析

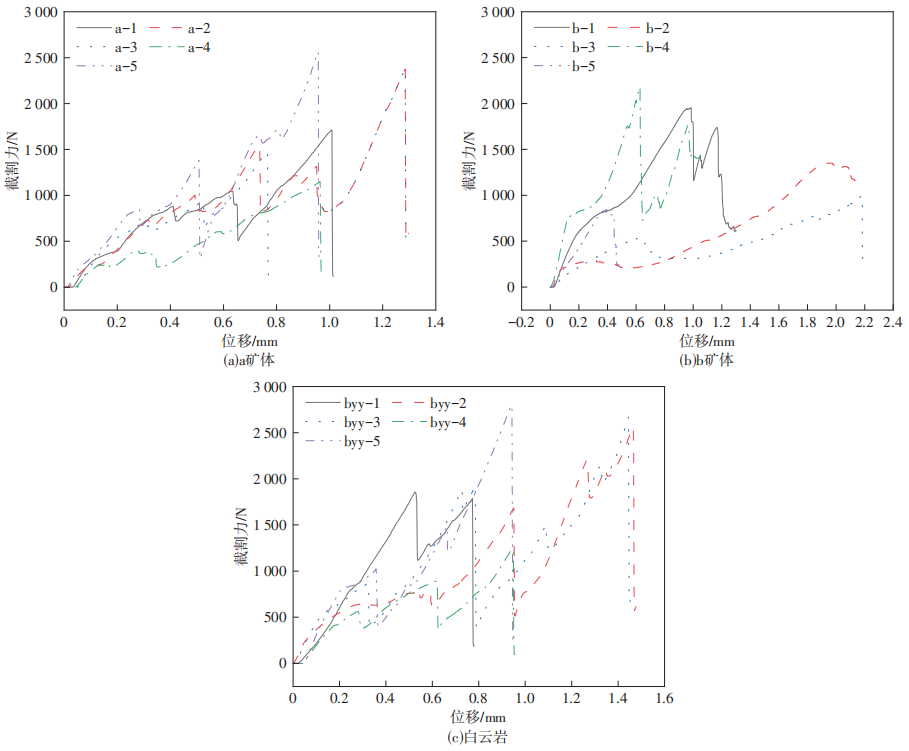
本次试验共开展15 个截割轮次,每种岩性试样分别开展5 次试验,试验过程中截齿未发生明显磨损,因此全部试验采用同一截齿进行,设置相同的截割参数及采样频率,采集得到的全部试样力与截割位移曲线如图7 所示。

10.png

图7 岩石试样截割力与位移关系曲线

图7(a)所示为a 矿体全部截齿截割试验截割力与位移关系曲线,曲线初始段(线性上升区间)的斜率反映岩石试样的初始刚度,五组曲线的平均斜率基本一致,曲线峰值对应的荷载值为岩石的极限承载力,直接体现岩石抵抗截齿截割的强度。a 矿体五组试样测试结果峰值截割力最大为2.56 kN,最小为1.15 kN, 平均1.86 kN。图7(b)所示为b 矿体全部截齿截割试验截割力与位移关系曲线,不同岩样测试结果相比于a 矿体离散性较大,分析原因是由于b 矿体较破碎,岩样加工过程中成型困难,不同成品岩样也存在较多裂隙,截割过程中岩石碎块剥离破坏出现较大影响。b 矿体五组试样测试结果峰值截割力最大为2.18 kN,最小为1.0 kN,平均为1.47 kN。图7(c) 所示为白云岩试样截割力与位移关系曲线,白云岩岩样较为完整,曲线斜率变化也较为一致,五组试样测试结果峰值截割力最大为2.80 kN,最小为1.25 kN,平均为2.23 kN。


2.3 可截割性评估

岩体可截割性是反映岩体在机械截割破碎时的难易程度,可截割性的评估对于掘进机选型、掘进效率预测和掘进参数优化具有重要意义。常见的可截割性评估方法包括基于截割比能耗的可截割性评估和基于普氏坚固性系数、截割阻抗以及岩石物理力学性质的可截割性评估。采用岩石截割比能耗评估可截割性是被广泛学者接受的方法,BILGIN 等在开展大量截割试验基础上,制定了可截割性分级标准,将截割岩石厚度为9 mm 时的截割比能耗定义为岩石的可截割性级值,用C 表示,单位为kWh/m3。初步建立的可截割性分级经验标准及评价结果见 表3。截割比能耗是单位岩屑体积所消耗的能量,如式(1)所示。

表3 岩石可截割性分级标准(h=9 mm)

11.png

12.png

式中,SCE 为截割比能耗;W为截割过程总能耗;V为岩屑体积;F 为截割力;为截割头速度;为截割时间;B 为截割宽度;h 为截割厚度;l 为截割长度。

标准可截割性分级实验方法中截割岩石厚度为9 mm,由于本次试验条件限制,需要对试验结果依据经验公式进行转换,截割力、截割比能耗与截割厚度的关系如式(2)所示。

13.png

评价掘进机工作性能的最有力参数为掘进效率,依据可截割性分级结果可以实现对掘进机掘进效率的预测,如式(3)所示。

14.png

式中,ICR 为掘进机掘进效率,单位为m3/h;WJ为掘进机截割头功率;k为能量传递效率,FOWELL等推荐该系数为0.45~0.55,SCEopt 为最优比能耗,研究表明其为侵入试验的13.5倍,即SCEopt=13.5·C。

本次试验三种岩石材料可截割性评价结果及基于截割功率为260 kW 的悬臂式掘进机掘进效率预测结果如表4 所示。实际工程应用过程中,掘进机截割效率受地下水、复杂地质结构、地应力以及施工操作等多种因素影响,因此可截割性分级评价结果对掘进效率预测还需结合现场实际工程进一步验证。

表4 某磷矿岩样可截割性综合评价结果及掘进效率预测

15.png


3 地下磷矿岩体非爆破机械开采工程验证

基于前述章节的理论研究和室内试验分析结果, 本研究将理论成果应用于某地下磷矿巷道掘进工程。通过对比预测效率与实际数据,验证模型的工程可行性,并分析差异原因以优化研究方法。

3.1 工程概况

本次试验地点选定为某地下磷矿山1020 水平,该矿1020 分层探矿巷道产状为走向336°,倾向76°, 矿层厚6~8 m,揭露断层走向与矿层走向一致,倾向81°。结合室内截割试验岩样测试结果,选定三条试验巷道开展掘进机截割试验,分别为a 矿沿脉巷道、b 矿沿脉巷道及1020 分层井底车场白云岩巷道,现场地质调查结果显示,a 矿体节理裂隙较为发育,b 矿体节理裂隙非常发育,矿体破碎程度较高,白云岩较为完整。掘进装备采用截割功率为260 kW 的悬臂式掘进机,是一种可以实现切割、运输、自行走及除尘喷雾等功能联合机组,最大定位截割断面45 m2。

试验区域设计断面为宽4.5 m× 高4.1 m 拱形巷道,截割落矿出渣采用自卸式矿车,在掘进机后方承接矿石,支护设计采用锚网支护,截割破岩过程如图8 所示。

16.png

图8 悬臂式掘进机现场试验

3.2 试验效果分析

在试验采场内,悬臂式掘进机掘进a 矿沿脉巷道149.5 m,纯掘进截割时间204.36 h,截割电耗 98 741 kWh,截齿总消耗321个;掘进b矿沿脉巷道206 m,纯掘进截割时间189.92 h,截割电耗104 948 kWh,截齿总消耗353 个;掘进井底车场白云岩巷道61 m,纯掘进截割时间110.7 h,截割电耗46217 kWh,截齿总消耗145 个。全部工业试验数据统计结果如表5 所示。

三种矿体实际截割效率平均值和预测掘进效率对比结果如图9 所示,通过对比结果可知,a 矿体预测差值6.84 m3/h,b 矿体预测差值最大为8.97 m3/h, 白云岩预测差值较小为3.63 m3/h。a、b 矿体预测差值较大,分析原因是由于实际截割过程中巷道环境影响,涌水、矿体坚硬程度不均匀等特殊因素导致掘进机进尺效率出现较大波动,据详细数据统计,a 矿体内掘进单日最大截割效率为29.39 m3/h,b 矿体内单日最大掘进效率为33.55m3/h,实际最大截割效率均高于预测值,因此预测值具有一定的可靠性。白云岩由于岩体较完整,强度较高,实际掘进效率与预测值差距较小,施工过程中进尺参数也较为稳定, 同时导致截齿磨损率和电单耗增加明显,经济成本大幅升高。

综上所述,现场工业试验结果与室内岩体可截割性预测结果基本吻合,验证了室内试验以及数值模拟结论的可靠性。基于上述研究,对于悬臂式掘进机推广应用于非煤矿山具有一定参考意义,可以为评估矿山岩体可截割性和掘进效率预测提供借鉴。



4 结论

以某磷矿山开采为研究对象,通过截齿截割参数数值模拟分析、室内岩石可截割性试验、现场工业试验研究了地下磷矿资源非爆破机械开采技术,形成了一套完整的非煤矿山非爆破机械开采研究体系,为将来非煤矿山采用悬臂式掘进机开展机械采掘试验提供了参考依据。主要得出以下结论:

1)数值模拟揭示了节理方向对截割力的显著影响,截割方向与节理面呈120°时破岩能耗最低,为现场截割参数优化提供了理论指导。

2)基于室内试验建立了包含截割比能耗、岩石强度和完整性的三因素可截割性分级体系,实现了从岩石力学参数到机械开采效率的定量预测。值得注意的是,现有可截割性分级标准在岩体破碎程度量化、动态破岩过程表征及环境因素耦合方面存在局限性, 未来将推动可截割性评估从静态经验分级向动态精准预测转变,进一步提升研究成果的工程适用性。

3)工程验证表明,SCR260 掘进机在b 类磷矿中表现最优,截齿单耗1.71个/m,电耗519.26 kWh/m,验证了分级模型的工程适用性;白云岩等高强度岩体的机械开采成本显著增加,建议结合岩石破碎预处理技术进一步优化开采方案。

本文的研究中,开展了基于镐型截齿截割破岩的数值模拟、室内试验以及工程应用验证,揭示了磷矿岩体截割破岩规律,建立并验证可截割性分级评价体系,研究成果为磷矿非爆机械开采提供了理论依据和技术支撑。然而,非煤矿山复杂地质环境对非爆破机械开采的影响尚不完全明确,特定地质条件下的适用性和推广性值得进一步研究。未来,将针对非煤矿山岩体可截割性快速分级方法、非爆机械连续采矿理论与技术等方面继续开展深入探索。


  • 行业动态

  • 成果展示