工程渣土凝聚-脱水-固化处理中的物料归趋及滤液循环回用
来源:冶金渣与尾矿 时间:2025/12/30 15:36:44

摘要

利用凝聚-脱水-固化耦合工艺可以显著提高工程渣土的资源转化效率,但工艺中投加物料归趋及压滤滤水循环回用优势有待进一步研究。针对此问题,开展了凝聚-脱水-固化试验,揭示了絮凝固化剂各组分在凝聚-脱水-固化过程中的归趋情况,并在此基础上探索压滤滤液循环回用产生的效益。结果显示,絮凝固化剂中18%~35.57%的Na⁺和0.1%~0.56%的Si元素存在于压滤滤液中,而Ca、Mg、Al元素主要存在于泥饼之中,比例接近甚至等于100%。将强碱性的压滤滤液循环回用于工艺中,在提高泥砂筛分解离效率的基础上,还相当于对工程渣土后续的凝聚-脱水-固化完成了“预处理”,渣土颗粒吸附了滤液中残留的物料,有助于根据物料变化规律及泥饼性能需求,动态调节物料投加,使流失于水体的物料始终处于动态循环利用之中。

中国城市工程建设余泥渣土(建筑垃圾的主要组成部分)是产生量最大、处理处置难度最大的固废之一,引发了严重的城市环境、土地资源与生态安全问题。且渣土具有区域特性、分散性以及成分的复杂性等特点,导致渣土利用量极低。以深圳市为例,建筑垃圾年产生量超过1×10⁸ m³,占深圳市固废总量的90%,其中余泥渣土约占70%以上,资源化利用率却不足30%(全国不足5%),外运填埋的处置方法不仅会严重占用大量的土地资源,还会导致噪音、扬尘等问题,还有可能导致污染物扩散影响水资源及滑坡等重大安全问题。因此,如何可持续地处理并资源化利用这些废弃的工程渣土是值得关注的问题。

常规的工程渣土处理及资源化利用方式是先脱水再固化处理。例如,通过研究总结了盾构渣土资源化利用方式的现状,目前主要的利用方式是首先通过絮凝对高含水率的渣土预处理,再利用机械压滤使其快速脱水成为低含水率渣土。随后,通过向渣土添加如水泥、地聚物等固化剂,通过对固化处理后的材料养护,可形成具有一定强度的可利用回填土、填海材料、路基材料等。例如,通过碱激发高炉矿渣作为绿色固化剂固化淤泥质工程渣土进行路基填料应用;通过添加适量缓凝剂和用生石灰代替部分水泥的措施,相对于纯水泥固化,可以有效提高处理后泥饼的整体性能;提出了一种使用固化剂的絮凝、真空预压和凝固的综合方法来处理废弃工程泥浆方法,通过试验验证水泥、缓凝剂和生石灰固化处理方法的有效性。

考虑到上述工艺较为烦琐冗余,且泥水分离和资源化利用割裂。近些年,工程渣土的处理工艺进化提升,研究提出并通过试验验证了凝聚-脱水-固化耦合工艺,主要通过向渣土中同时加入絮凝剂、固化剂,随后进行压滤脱水。该工艺使得工程渣土分离和资源化利用耦合,不仅简化了工艺,还可以提高压滤脱水的速率,同时其形成的滤饼具有一定强度,可直接作为碾压式填料利用,或通过高压挤压制备免烧建材或再生颗粒。该技术采用地聚物基类固化剂,如一些工业固废,可有效避免传统水泥基材料高能耗、高排放的问题,体现了以废治废的环保理念。同时,研究发现地聚物固化不仅使得强度大幅度提升,还可以使泥质内部污染物的稳定化。使用固体废弃物高炉矿渣协同水泥制备新型固化材料地质聚合物,探讨其固化重金属铅的力学表现及微观机理变化。矿渣地聚物协同水泥相比水泥基及其他固化拥有更好的固化稳定化污染物的效果。

凝聚-脱水-固化技术采用碱激发地聚物固化,具有脱水速率快、产物强度高等诸多优点。但其产生的压滤滤液呈碱性,这说明碱激发剂、地聚物固化材料等可能在压滤过程中有所散失。因此,有必要针对投加物料各成分在凝聚-脱水-固化过程中的归趋情况进行研究,以便于将流失的物料进行再回收利用。

另一方面,在工程渣土的集中处理中,渣土一般经过高压喷淋、振动筛分、水力旋流、压滤脱水等过程,达到泥砂分离和固液分离的目的。其中凝聚-脱水-固化过程对产生的碱性滤液进行循环回用于对渣土进行高压喷淋,可以进一步促进土体团粒崩解,提高泥砂分离效率。滤液循环回用的过程中,经过碱性滤液淋洗的渣土颗粒必然会吸附一定的碱性物质以及地聚物基固化剂的残余元素,这些渣土在后续的凝聚-脱水-固化处理前相当于进行了“预处理”,因此有必要探究压滤滤液循环回用过程中物料的变化规律,为动态调控物料投加量及泥饼性能奠定基础,使流失的物料始终处于动态循环利用之中,节约资源。

针对上述问题,现实地采集5种具有代表性的工程渣土,开展凝聚-脱水-固化试验,研究测试处理工艺所产生的滤液中投加元素残留,分析计算出投加物料各成分在凝聚-脱水-固化过程中的归趋情况。此外,研究将压滤滤液中残留的物料进行反复利用,通过滤液冲洗试验,评估滤液中残留物料的变化规律;将冲洗后的泥质进行凝聚-脱水-固化试验,测试并对比泥饼的强度特性,评价压滤滤液循环回用对于后续泥饼力学性能的影响,最终得出滤液循环回用路径。


1

试验材料和方法

1.1 试验材料

采集了5种具有代表性的已去除砂石的工程渣土(样品A、B、C、D、E)作为试验材料,分别取样于深圳市龙岗区、坪山区、南山区以及广州市番禺区不同的工程施工现场。为了便于进行实验,将工程渣土样品按干土重量:水重量=1:1.5配置为泥浆样品A~样品E进行试验测试,如图1所示。不同工程渣土的基本性质如表1所示,工程渣土的矿物组成如表2所示。

1.png

2.png

3.png

4.png


5种工程渣土采用凝聚-脱水-固化的方式进行处理,其中采用地聚物基的絮凝固化剂。地聚物基絮凝固化剂主要由活性成分、激发成分和絮凝成分组成。本次试验所用活性成分由水泥熟料和矿渣按4:6复配而成;激发成分为模数1.2的水玻璃,由模数2.0的水玻璃添加NaOH调配而成;絮凝成分包括阳离子型聚丙烯酰胺(Cationic Polyacrylamide,CPAM)和聚合氯化铝(Polyaluminium Chloride,PAC)。絮凝固化剂成分如表3所示。


1.2 凝聚-脱水-固化测试方法

基于实际工况,往不同工程渣土配置的泥浆试样中添加地聚物基的絮凝固化剂,经过充分搅拌后,倒入图2所示的泥浆桶。随后,启动空气压缩机,将泥浆泵送至压滤室进行压滤脱水,收集滤液和泥饼,用于后续测试相关性质。

5.png

6.png


表4介绍了固化剂添加后元素的主要来源。活性成分的主要元素是Ca、Mg、Al及Si,激发成分的主要元素为Na。因此,测试滤液和泥饼中Na、Ca、Mg、Si、Al这5种主要元素的含量。经测试,以30%絮凝固化剂添加量为例,加入泥浆的各类元素量为:Na (5.60 g/L)、Ca (29.25 g/L)、Mg (4.71 g/L)、Si (14.13 g/L)、Al (7.67 g/L)。该数据可以用于评估投加的絮凝固化剂元素经过凝聚-脱水-固化后分别在滤液及泥饼中的元素归趋分布。

具体试验方案如表5所示。表5中的空白组代表未添加絮凝固化剂直接进行压滤脱水。针对这5种主要元素进行测试,评估投加物料各元素在凝聚-脱水-固化过程中的归趋情况。由于Na元素在水中主要以离子形式存在,故Na元素浓度近似于Na⁺浓度。

7.png


1.3 压滤滤液循环回用中的pH及Na⁺变化测试

为了评估碱性滤液回用过程对于后续凝聚-脱水-固化的影响,将经过压滤滤液冲洗的渣土与原状渣土分别进行凝聚-脱水-固化试验,将压滤脱水后得到的泥饼重塑,养护并测试无侧限抗压强度,试验方案如表6所示。表6中的空白组代表将未经压滤滤液冲洗的原状渣土作为试验材料,直接进行凝聚-脱水-固化试验;回用减量组代表渣土经过压滤滤液的冲洗,在后续基于一定比例减少了絮凝固化剂的添加量。减少的絮凝固化剂中激发成分添加量的依据是:由于滤液中主要的成分为氢氧化钠(该成分在絮凝固化剂中为激发成分),故通过计算得出所需减少的激发成分投加量,即:絮凝固化剂中激发成分减少量 = 压滤滤液中Na⁺比例 × 淋洗后Na⁺浓度变化比例。

8.png


1.4 压滤滤液性质测试

将试验得到的滤液使用0.45 μm滤膜过滤,采用电感耦合等离子体质谱仪 (Avio 220, Perkin Elmer, USA) 测定过滤后水样中的物料元素含量。此外,使用标准pH缓冲溶液校准pH计,将校准完成后的pH计插入不同压滤滤液样品中,确保pH电极完全浸入样品,并且不与容器底部或侧面接触。等待读数稳定后,记录pH值。


1.5 无侧限抗压强度测试

经过凝聚-脱水-固化试验得到的泥饼,通过击实法装入直径39.1 mm、高80 mm的钢制模具,然后将模具顶端用塑料袋密封并置于温度为20℃、湿度90%的养护箱中。养护1天后脱模,继续养护至规定龄期后进行无侧限抗压强度试验,每组试验制备3个平行样。

对养护结束后的试样进行无侧限抗压强度试验。在试验台与压头表面均涂抹一层机油,以降低试验过程中的摩擦力影响。将试样平整置于试验台上,降低压头高度直至快接触试样,然后使压头以0.8 mm/min的位移速度开始试验,记录试样破坏过程。当试样完全破坏后,停止试验并记录试样破坏强度。结果取3个平行样测试结果的平均值。


2

结果与分析

2.1 凝聚-脱水-固化过程中投加物料元素的归趋  

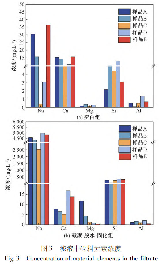
图3展示了不同工程渣土经过凝聚-脱水-固化处理得到的滤液中物料元素的浓度。图1(a)中的空白组由于未加入絮凝固化剂,滤液中的物料元素浓度仅受泥浆中元素形态的影响。总体来说,空白组滤液中5种元素的浓度均不高,普遍低于20 mg/L。其中,Na⁺含量相对较高,部分泥浆得到的滤液中Na⁺含量达到30~37 mg/L。  

图3(b)展示了添加絮凝固化剂泥浆的滤液各元素浓度。其中,Na⁺和Si元素浓度明显高于空白组,Na⁺浓度高达2500~4900 mg/L,Si元素浓度则达到230~330 mg/L。这两类元素主要来源于组分为硅酸钠和氢氧化钠的碱激发剂,说明部分碱激发剂未能充分反应,残留在压滤滤液中。另一方面,絮凝固化剂的其他主要元素Ca、Mg、Al在滤液中浓度不高,与空白组浓度相当,说明这些元素经过凝聚-脱水-固化处理后基本留存于泥饼中。  

9.png


图4展示了滤液及泥饼中的元素归趋分布。絮凝固化剂中的18%~35.57% Na⁺存在于处理过程中生成的压滤滤液中。这表明凝聚-脱水-固化处理过程中,一部分Na⁺被带出并富集在压滤滤液中。其次是Si元素,其在压滤滤液中的含量为0.1%~0.56%。另一方面,投加物料中的Ca、Mg、Al元素,则主要存在于泥饼之中,这些元素的比例接近甚至等于100%。可以推断出Ca、Mg、Al元素存在形态难以析出,或者基本在泥饼内形成固态化合物。  

10.png


综上,工程渣土经过凝聚-脱水-固化处理后,小部分Na⁺和较少的Si元素残留于压滤滤液中,而投加物料中的Ca、Mg、Al元素则被吸附或利用于泥饼中。因此,结合滤液呈现强碱性,可以推断压滤滤液中的NaOH应作为后续资源化利用的主要成分。


2.2 压滤滤液循环回用中pH及Na⁺变化规律  

由上述分析可知,压滤滤液中主要存在的物质为氢氧化钠及少量硅酸钠的混合溶液,为探究循环回用中物料变化规律,测试主要针对pH和Na⁺浓度的变化进行测试。图5展示了不同来源工程渣土泥浆在10%~30%絮凝固化剂添加量下压滤滤液中的pH变化情况。随着滤液回用次数的增加,滤液的pH均呈现下降趋势,这揭示了泥浆颗粒会吸附滤液中的氢氧根。此外,不同泥浆对于氢氧根的吸附情况及能力不同。在不同絮凝固化剂添加量下,工程渣土C滤液的pH下降速率最快,经过4次淋洗后降低42.18%~66.16%,其他工程渣土泥浆下降了31.77%~45.65%。由此可以看出在整体吸附能力方面,工程渣土C的吸附能力最强,其次是工程渣土B,工程渣土A、D、E的吸附能力差别不大。 

11.png

 

总体而言,当絮凝固化剂添加量在10%~30%范围内,压滤滤液的初始pH都为14,经过4次回用后,滤液中的pH下降至8.28~10.28。滤液在循环回用时,不仅可提高泥砂分离的效率,部分碱性还会被土体吸收利用,得到相应吸收规律有利于滤液最终的排放处理。从变化规律可以看出,当停止固化剂投加后,循环回用4次后pH趋于8,便于最终尾水直接排放,因此,当工程开挖结束前,可以通过停止物料投加,将滤液循环回用4次以上,减少碱性残留及物料残留,降低最终尾水的处理排放成本。  

图6展示了压滤滤液循环回用中Na⁺浓度的变化情况。随着滤液回用次数的增加,滤液中Na⁺浓度也逐渐降低,这种趋势与pH下降规律相似,但Na⁺浓度的下降幅度趋势相对稳定。具体来说,工程渣土C的Na⁺浓度下降趋势最为显著,每次回用后Na⁺浓度下降比例为22.24%~24.59%。而工程渣土D的Na⁺浓度下降比例最弱,为11.87%~12.88%,其余工程渣土的Na⁺浓度下降比例与工程渣土D相差不大,介于12.14%~15.24%。这一规律与土体吸附特性的强弱相关,工程渣土C所取的施工区域黏土矿物含量较高,因此吸附能力更强。  


2.3 压滤滤液循环回用后的凝聚-脱水-固化泥饼强度  

图5及图6的结果揭示了经过压滤滤液在循环回用的过程中,对工程渣土进行冲洗筛分,土体颗粒上会吸附一定的物料,这些泥浆在后续的凝聚-脱水-固化处理前相当于进行了“预处理”,上述得出物料在循环回用过程中的变化规律,可用于进行动态调控后续絮凝固化剂的添加量。为探究滤液循环回用对泥饼强度的影响,选用其中3种工程渣土,对压滤滤液循环回用后的凝聚-脱水-固化的泥饼进行无侧限抗压强度试验。

 

12.png

 

13.png


从图7可以看出,对于工程渣土B、C、D,回用组的强度均高于空白组,强度提高4.07%~7.30%。此外,基于图5及图6的结果,在滤液冲洗回用过程中,泥浆颗粒会预先吸附OH⁻及Na⁺,因此在回用减量组中,工程渣土B、C、D的絮凝固化剂的添加量分别降低了6.5%、5%、3.5%。虽然絮凝固化剂的添加量降低,但回用减量组的强度与空白组相当,这验证了滤液回用于冲洗阶段减少絮凝固化剂投加量的可行性。说明压滤滤液用于循环回用,使流失的物料一直处于动态循环利用中,可以通过动态调控物料投加,满足不同的泥饼性能需求,减少物料的浪费。  


2.4 压滤滤液循环回用工艺的优点  

根据测试总结各元素在凝聚-脱水-固化过程中的归趋,可以看出,在工程渣土经过凝聚-脱水-固化处理后,压滤滤液中主要的残留成分为NaOH。因此,在压滤滤液循环回用过程中,强碱性的滤液作为泥砂分离的冲洗液是非常合适的,碱性条件有助于提高泥砂分离的效率。并且碱性溶液能有效促进絮凝剂的崩解,从而在砂石用于混凝土搅拌时,减少其与减水剂的相互作用冲突,提升混凝土的和易性和稳定性。  

更为重要的是,结合图5及图6的结果可得出压滤滤液循环回用物料变化规律,结合图7可以发现经过碱性滤液冲洗回用的泥浆,在后续的凝聚-脱水-固化处理前相当于进行了“预处理”,泥浆颗粒吸附了部分OH⁻及Na⁺,有助于提高压滤泥饼的强度。由此可以根据物料变化规律及泥饼性能需求,动态调节凝聚脱水固化处理工艺中的物料投加,使流失的物料一直处于动态循环利用之中,减少资源浪费。  

图8详细展示了将压滤滤液回用冲洗泥砂的优点:加速泥砂解离筛分、按需调控投加,充分利用物料。


14.png


  结论  

针对对工程渣土进行凝聚-脱水-固化处理过程中产生碱性压滤滤液循环回用工艺的研究,探究了投加物料各成分在凝聚-脱水-固化过程中的归趋情况,在此基础上,通过试验探究了压滤滤液循环回用过程中物料变化规律及泥饼性能变化。得出如下结论。  

(1)工程渣土经过凝聚-脱水-固化处理后的元素归趋:絮凝固化剂中18%~35.57%的Na⁺、0.1%~0.56%的Si存在于压滤滤液中,而Ca、Mg、Al主要存在于泥饼之中,比例接近甚至等于100%。  

(2)通过进行压滤滤液循环回用变化试验测试得到相应pH及Na⁺变化规律,由于不同工程渣土对物料的吸附量存在差异,每次循环回用后的变化比例为11.87%~24.87%,同一工程渣土每次循环回用后的变化比例为±3%。且针对回用后的泥饼进行无侧限抗压强度测试,证实压滤滤液残留物料被渣土吸附利用于形成泥饼力学性能。  

(3)压滤滤液循环回用工艺,在提高泥砂筛分解离效率的基础上,还相当于对工程渣土后续的凝聚-脱水-固化完成了“预处理”。渣土颗粒吸附了残留物料,根据物料变化规律及泥饼性能需求,动态调节物料投加,使物料一直处于动态循环回用中,减少资源浪费。



来源|《科学技术与工程》

作者|韩志豪,张明,孙晓辉,陈长卿,吴思麟,陈佛赐,董紫君

编辑与整理|冶金渣与尾矿


  • 行业动态

  • 成果展示