重庆大学&中国矿业大学联合研究团队:煤基固废粉煤灰与气化细渣浮选脱炭研究进展
来源:矿冶集团信息研究中心 时间:2026/1/5 16:09:41

煤炭是保障我国能源安全供应的“压舱石”,煤炭产业支撑了国民经济的平稳发展。近年来,煤炭产业的快速发展,燃煤锅炉、气化炉等设备在燃烧和气化过程中产生大量煤基固废(粉煤灰、气化渣等),对土地资源及生态环境造成了极大的浪费与污染。我国煤基固废产量大,但资源化利用率低,全面提升固废资源化利用效率对培育能源领域“新质生产力”意义重大,而高效经济的固废炭灰分离方法则是其资源化利用的前提和关键。本文系统介绍了两种典型煤基固废粉煤灰和气化细渣的理化性质,分析总结了当前两者在浮选脱炭方面的研究进展。粉煤灰和气化细渣粒度细,平均粒径均为-74μm,其中气化细渣的平均粒径更细,一般以-45μm粒级为主;粉煤灰和气化细渣均由多孔絮状的未燃残炭及球形规则的无机玻璃珠体组成,两种组分以离散、黏附或熔融共存等方式存在,且未燃残炭表面均富含亲水性官能团;当前,浮选法是实现粉煤灰和气化细渣脱炭最经济有效的方法之一,但未燃残炭表面氧化严重,孔隙结构发达,炭灰熔融共存,粒度细等都是制约浮选脱炭的主要因素,相关研究也主要聚焦于高效复合药剂的研发,选前预处理强化及浮选工艺流程优化等。相较于气化细渣,粉煤灰浮选脱炭效率更高,且对药剂种类和用量的需求更低。浮选药剂、选前预处理、浮选工艺间的互相耦合虽在一定程度上有效提高了气化细渣的浮选脱炭效率,但药剂消耗量大、工艺繁琐,分选效果不佳的问题并未得到根本解决。粉煤灰与气化细渣虽性质相似,却也有不同。粉煤灰与气化细渣残炭组分孔隙结构发达,但孔隙内部性质可能存在差异;二者虽矿物组成相似,但浮选溶液离子环境可能大不相同,未来可围绕粉煤灰与气化细渣孔隙内部性质及二者浮选溶液离子环境等对浮选脱炭过程的影响开展进一步研究。针对煤基固废粉煤灰和气化细渣浮选脱炭过程中存在的问题,总结当前研究现状,探讨了未来发展趋势,以期为煤基固废或其他大宗固废分离与资源化、高值化发展提供借鉴与参考。相关成果发表于矿冶期刊群《有色金属(选矿部分)》2025年第11期,题目:煤基固废粉煤灰与气化细渣浮选脱炭研究进展,作者:张锐,夏阳超,邢耀文,桂夏辉。

1.png

扫码下载文章



研究背景

煤炭作为一种传统的能源资源,其储量相对丰富且分布广泛,在能源市场中一直占据着重要的地位。截至2024年,我国原煤产量47.8亿t,同比增长1.2%。过去4年中,我国累计生产煤炭181.8亿t,约占全国一次能源生产总量的66.6%。煤炭作为我国的能源基石的地位依旧举足轻重。在能源结构多元化进程中,煤炭依然是保障国家能源安全稳定供应的“压舱石”。近年来,随着我国煤化工技术的不断成熟与发展,煤炭燃烧、煤气化制取工业材料等技术得到大力推广,导致燃煤锅炉、气化炉等设备在燃煤、气化过程中的煤基工业固废急剧排放,诸如粉煤灰、气化细渣、气化炉底渣等。2024年底,我国燃煤粉煤灰的堆积量已超9.25亿t,气化细渣的年排放量也超3300万t,资源化利用率仅为8%左右。堆存和填埋等消极的处理方式不仅侵占了宝贵的土地资源,赋存于固废中的各类有毒物质还对地下淡水资源和周边生态环境造成严重污染,合理解决煤基固废堆积问题被日益关注。

当前,煤化工产业正向着低碳、节能、高效的方向发展,大宗工业固废也向着高附加值、低成本、绿色化的方向不断推进。固废资源化是我国建设低碳、绿色循环经济体系的重要内容,也是助力“双碳”战略目标落实的一项重要举措。煤基固废中粉煤灰与气化细渣主要是由未燃残炭与无机矿物组成,依据燃煤和气化工艺的差异,粉煤灰和气化细渣中未燃残炭占30%~50%,灰分为40%~80%。因此,粉煤灰和气化细渣的炭灰分离是实现其资源化绿色发展的前提和必要。以浮选为代表的炭灰分离技术是实现粉煤灰和气化细渣炭灰高效分离与大规模工业推广的有效途径之一,围绕浮选药剂、浮选工艺与浮选设备的粉煤灰和气化细渣炭灰分离探索已然成为当前研究的热点与难点。粉煤灰与气化细渣虽都属于煤基工业固废,但二者因产生工艺的不同,在物化性质方面存在一定差异,这也造成了二者在浮选炭灰分离过程中的分选现象不尽相同。因此,针对粉煤灰和气化细渣不同的物性特点研究其在浮选炭灰分离中的不同影响规律是煤基固废粉煤灰和气化细渣浮选脱炭研究的主要关注点。

综上,本文对煤基固废粉煤灰和气化细渣的理化性质进行对比分析,阐述了二者在物性方面的异同特点。鉴于粉煤灰和气化细渣高含炭、高比表面积、孔隙结构发达等物性特点,从浮选药剂、浮选工艺与浮选设备等方面对煤基固废粉煤灰和气化细渣浮选脱炭技术进行了总结,并对现有研究中存在的问题和未来研究重点进行了探讨,以期为煤基固废粉煤灰和气化细渣的炭灰分离及资源化利用研究提供借鉴与参考。



1 煤基固废粉煤灰/气化细渣理化性质


1.1粉煤灰理化性质

粉煤灰一般是指煤粉在锅炉中燃烧后由烟道气带出并经除尘器收集得到的粉尘。其形成过程大致可分为三个阶段:第一阶段为初始燃烧阶段,在这一阶段中煤粉开始燃烧,低气化温度的挥发分首先逸出,形成多孔炭颗粒。此时的煤灰颗粒为不规则的碎屑状,比表面积较大;第二阶段为有机质燃烧阶段,该阶段过程中,随着温度的不断升高,煤中有机质完全燃烧,无机质分解并氧化成各类无机含氧化合物,在高温环境中熔融聚合为球状玻璃珠体。第三阶段为熔融与冷却阶段,在此高温阶段,玻璃体逐渐熔融并收缩,最终形成密度较高,粒度较小的颗粒,称为粉煤灰。与此同时,研究者们采用扫描电子显微镜(SEM)技术对粉煤灰中未燃残炭与玻璃体微观形貌进行了表征(图1),粉煤灰中的玻璃体颗粒粒径较大,呈无规则分布;未燃残炭则呈现多孔状且粒度较细。

2.png

图1 粉煤灰微观物理形貌:(a)未燃残炭形貌;(b)无机玻璃珠体形貌

由于燃煤产地或燃煤性质的差异,不同地域粉煤灰矿物组成略有差异,但大部分粉煤灰的主要成分包括C及SiO₂、Al₂O₃、Fe₂O₃、CaO等含氧化物;主要晶体矿物为石英、莫来石、赤铁矿、磁铁矿等。粉煤灰基本化学组成及矿相种类如表1、2所示。

表1 粉煤灰基本化学组成

3.png

表2 粉煤灰主要矿物组成

4.png

粉煤灰粒度较细,大部分颗粒平均粒度小于74μm,笔者团队在粉煤灰浮选脱炭研究中发现粉煤灰样品中-74μm占比超过50%。大部分粉煤灰平均粒径为20~30μm,HUANG等在研究中使用的粉煤灰D₅₀粒径为24.80μm。YANG等采用激光粒度仪表征所用粉煤灰样品,其中小于74μm和45μm的粒径百分比分别为89.80%和76.79%。此外,粉煤灰表面亲水性强,胡志伟通过座滴法测量得出粉煤灰原样品的接触角只有16.5°。粉煤灰是煤粉燃烧后产物,表面具有大量极性亲水含氧官能团,这部分含氧基团易与水中氢原子发生氢键作用,使得粉煤灰表面异常亲水。WANG等利用X射线光电子能谱(XPS)分析了两种粉煤灰未燃残炭样品(UC-A和UC-B)的表面性质(图2)。其中,UC-A中C―、C―O键含量相近,高于O―C=O。对于UC-B,C―C是主要官能团,其次是C―O和O―C=O。含氧基团的存在增加了粉煤灰的亲水性,从而降低了其浮选和油团聚等分离效率。

5.png

图2 粉煤灰中未燃残炭表面XPS图谱


1.2气化细渣理化性质

煤气化细渣是煤气化生成CO和H₂期间,煤与O₂或富氧空气发生不完全燃烧过程中无机矿物经过不同物理化学转变伴随残留碳颗粒并在合成气除尘装置处收集得到的固体排放物。其主要化学组成物为SiO₂、Al₂O₃、CaO、Fe₂O₃、MgO等;主要晶体矿相为石英、莫来石与方解石等。由于燃煤地域及煤气化装置不同,气化细渣的化学组成和矿物成分也略有不同。赵永彬等分析了不同气化装置产生的气化细渣化学组成,发现煤气化细渣中SiO₂、Al₂O₃、CaO、Fe₂O₃、C等为主要组成部分。不同气化装置生成的气化细渣区别在于SiO₂和烧失量的不同。帅航等研究了不同地区气化装置产生气化细渣矿物组成情况,各种细渣的主要化学成为也多为SiO₂、Al₂O₃、CaO、Fe₂O₃和残炭,少量还有Na₂O、MgO和P₂O₅等;不同气化细渣的矿相均以铝硅酸盐和无定形碳为主。表3整理了不同区域和不同气化装置典型气化细渣化学组成。

表3 气化细渣基本化学组成

6.png

气化过程中,由于气化过程短,气化反应不完全,气化细渣中的残炭多呈现絮状结构。煤中无机矿物在高温环境下通常熔融形成玻璃珠体。笔者研究团队通过气化细渣SEM表征(图3)发现,气化细渣中残炭颗粒形状不规则,表面粗糙且孔隙结构特别发达。而玻璃珠体则呈规则球体,表面较为光滑,部分玻璃珠体附着于残炭表面。GUO等通过气化细渣SEM表征发现,气化细渣中残炭颗粒与玻璃珠体存在四种赋存状态:残炭颗粒与玻璃珠体分离态;玻璃珠体附着于残炭表面态;玻璃珠体赋存与残炭孔隙态;玻璃珠体与残炭颗粒熔融结合态。气化细渣中玻璃珠体与残炭颗粒的上述赋存状态在其他研究工作中同样被得到证明。

气化细渣平均粒径较粉煤灰而言更细。胡志伟分别统计了湖南某电厂粉煤灰和同煤集团气化炉渣的粒度组成情况,发现粉煤灰-74μm的细颗粒含量较多。且-0.5+0.074mm粒级烧失量较大,表面残炭颗粒粒径较粗。而气化渣的主要粒径分布在-45μm,产率达到37.19%,与粉煤灰特性相似,但气化渣的整体粒度较粉煤灰更细。粉煤灰与气化渣样品粒度组成特性分析如表4、5所示。

表4 粉煤灰样品粒度组成

7.png

表5 气化渣样品粒度组成

8.png

9.png

图3 气化细渣表面元素组成及微观形貌

黄海珊采用湿法筛分对气化细渣各粒级进行了统计,其中+0.5mm粒级含量较少,主导粒级为-0.045mm,且该部分物料灰分较高。次导粒级为-0.5+0.25mm,粒度较大、灰分较低,可能集中存在部分残炭颗粒。并且气化细渣各粒级灰分随粒径减小大致呈增加趋势,说明气化细渣中存在细粒高灰现象。进一步通过BET比表面积法和压汞测试法对气化细渣孔隙情况进行表征,发现气化细渣总孔容和总比表面积较大,总孔容为1.58cm³/g,总比表面积为145.51m²/g。孔容主要以大孔和中孔为主,占总孔容积的90%以上,比表面积以微孔占比最高,为92.53%。MIAO等分析了宁夏神华集团夹带流气化炉产生的气化细渣孔隙特征,他们发现气化细渣和未燃残炭均是由连续且完整的孔隙结构组成(图4),而玻璃珠体中的孔隙结构最不发达。并且他们还通过N₂吸附法计算了气化细渣(FS)、未燃残炭(RC)和灰渣颗粒(SP)的孔径分布,结果显示,FS和RC孔径分布的变化呈现出相似的趋势,孔径主要位于1~10nm,其中RC的最可几孔径主要分布在2~5nm和100~375μm,且多以新鲜孔为主。

10.png

图4 气化细渣孔隙结构性质:(a) N2 吸附法;(b)压汞技术

气化细渣经历短时间内高温气化,煤中的有机质发生化学变化,导致表面化学官能团结构、性质发生转变。残炭颗粒表面的化学基团决定着浮选炭灰分离的效率。李文峰采用傅里叶变换红外光谱分析(FTIR)以对气化细渣表面基团性质进行分析,发现气化细渣残炭表面含有―OH、―COOH、―O―、及pH―OH等亲水性官能团。这些基团能与水分子之间形成氢键吸附,从而降低颗粒表面的疏水性。LI等对气化细渣中的典型官能团进行研究,发现气化细渣的化学官能团主要是比较稳定的含氧化合物,原煤中未反应残炭基团和官能团重排反应生成的新基团是气化细渣中官能团的主要来源。葛晓东在对气化细渣表面基团表征后发现,除了大量的C―C/C―H结构外,C―O―C/C―O的红外吸收峰具有最大的强度和面积,其次是―OH吸收峰。吕登攀等分析了神华德士古气化炉和GSP气化炉产生的灰渣中残炭表面化学性质,发现有机官能团经过高温氧化后发生了巨大变化,容易断裂的键被裂解成碎片或与其他键重新结合形成新的化学键,从而导致有机化合物之间的差异。气化细渣表面存在大量亲水基团,增加了后续浮选脱炭的难度。LIU等在他们的研究报告中总结了煤气化细渣表面官能团性质情况(图5),其基本性质与上述研究结果相似,煤气化细渣表面的含碳官能团主要是C―C/C―H和C―O,在634cm⁻¹处存在O―H特征振动峰值以及一个更宽的特征振动峰,在3439cm⁻¹处含有强氢键硅羟基(Si―OH)和少量水。

11.png

图5 气化细渣表面官能团性质分析:(a)气化细渣红外光谱;(b)不同热解温度处理后气化细渣XPS图谱;(c)不同热解温度处理后气化细渣官能团含量;(d)不同热解温度处理后气化细渣红外图谱



2 煤基固废粉煤灰/气化细渣浮选脱炭研究进展


2.1粉煤灰浮选脱炭研究

粉煤灰中的残炭颗粒表面具有天然疏水性,而其他无机矿物部分表面亲水,根据这一表面性质差异,利用浮选法是将未燃残炭从粉煤灰中有分离出来最有效的方法之一。但是,粉煤灰中的未燃残炭粒度小且表面孔隙结构发达,经历高温燃烧后表面还含有大量的亲水性含氧基团,导致粉煤灰浮选效率降低,药剂消耗量增高。胡振文等采用餐厨废油作浮选捕收剂并结合机械活化方式处理高炭粉煤灰,发现餐厨废油中C―H、―CH₃和―CH₂等疏水基团的峰值远高于传统煤油,餐厨废油吸附在残炭颗粒表面后可有效改善其表面疏水性,提高浮选脱炭效率。NIE等将废油乳化,使粉煤灰表面疏水基团含量提高至59.90%,且炭去除率达到94.64%。ZHANG等采用烷基磺酸钠与柴油复配浮选药剂浮选粉煤灰,使粉煤灰浮选脱炭效率从41%提高到86%。LIU等将废煎炸油作为浮选捕收剂处理两种粉煤灰样品,发现当用量为3.25kg/t和1.25kg/t时,浮选尾矿分别满足Ⅱ级和Ⅰ级粉煤灰的烧失量要求,实现“以废治废”理念。事实上,粉煤灰中未燃残炭与传统低品质煤、氧化煤表面特性相似,适用于低品质煤和氧化煤浮选捕收剂的开发方法同样适用于粉煤灰分选。为了提高捕收剂在残炭表面的分散效率,ZHENG等采用TritonX-100与煤油混合物协同捕集粉煤灰中未燃碳颗粒,TritonX-100的乳化作用使煤油液滴粒径减小,增加了未燃残炭与油滴的碰撞概率和表面疏水性,可显著降低尾矿烧失量。ZHENG等则采用煤焦油替代传统煤油柴油等捕收剂浮选粉煤灰并结合分子模拟技术从微观层面揭示了捕收剂在未燃残炭表面的吸附行为(图6),他们认为煤焦油中的芳香族化合物与残炭的苯环结构间的π-π吸附强于传统烷烃类捕收剂中的范德华力吸附,从而增强了残炭表面的疏水性。

12.png

图6 柴油与CTAB复配药剂在未燃残炭表面吸附机理

粉煤灰浮选过程强化手段对提高粉煤灰脱炭效率有着重要影响。LÜ等采用充气倾斜液固流化床对粉煤灰进行浮选前预处理,实现不同粒径残炭颗粒的分离,随后将粗粒残炭颗粒粉碎进行浮选处理,浮选精矿的最大可燃物回收率达到89.89%,烧失量为41.80%。粉煤灰颗粒粒度小,传统浮选技术对粉煤灰等超细颗粒的局限性也更加明显,纳米气泡技术已被证明可以有效提高细颗粒和超细颗粒的浮选性能。MA等则是将纳米气泡技术引入粉煤灰浮选过程,试验结果表明采用微纳米气泡浮选粉煤灰尾矿烧失量仅为3.15%,未燃残炭的去除率高达85.01%,满足Ⅱ级粉煤灰要求标准。粉煤灰颗粒平均粒径较小,增大浮选机搅拌强度有助于提高颗粒与气泡的碰撞和黏附概率。同样的,HUANG等采用浮选柱研究了纳米气泡对粉煤灰浮选脱炭的影响及其机理(图7)。他们发现,纳米气泡能够显著提高粉煤灰浮选的脱炭效率,使用纳米气泡可将未燃残炭的回收率提高3~15个百分点,且节约近一半的浮选药剂用量。纳米气泡更容易在疏水表面上生成,但在亲水表面上很难形成。有研究结果表明,纳米气泡的存在桥接了细粒煤颗粒与气泡的相互作用,增加了煤与气泡间的相互作用力,从而提高浮选效率;此外,纳米气泡还减小了细粒煤颗粒间的临界内聚半径,增加细颗粒的表观尺寸,从而增加颗粒与气泡的碰撞概率,这些机制都是提高细粒粉煤灰浮选脱炭效率的原因之一。

13.png

图7 纳米气泡对粉煤灰浮选效果影响

一些研究还发现对粉煤灰浮选矿浆进行强搅拌可显著提高浮选脱炭效率。YANG等对粉煤灰进行预先调浆—浮选试验,通过设置不同的预调浆转速,研究其对后续浮选脱炭效果的影响(图8)。合适的预调浆工况条件可显著降低粉煤灰残炭颗粒与气泡间的诱导时间,提高颗粒-气泡间黏附效率,在最佳工况条件下,尾矿烧失量为3.06%,炭去除率达到83.89%。此外,也有一些研究报道将超声与研磨技术引入粉煤灰浮选脱炭过程,强化粉煤灰脱炭效果。李海兰等则是在试验中引入超声场技术,在一定程度上提高浮选药剂的分散效果,提升浮选脱炭效率。王驰等采用磨矿和浮选结合方法脱除粉煤灰中的未燃残炭,他们在研究中发现选前研磨在降低粉煤灰颗粒粒度的同时,还可使未燃残炭内部新鲜表面暴露,提高其疏水性。采用一粗两精一扫、中矿再选试验流程,可获得可燃物含量60.87%、可燃物回收率77.64%的精炭,以及烧失量分别为4.57%和9.55%的两种尾灰。

14.png

图8 粉煤灰预调浆处理强化浮选流程

浮选设备对粉煤灰脱炭效果也有显著影响。对于40μm以上的粉煤灰颗粒采用机械搅拌式浮选机分离效果较好。笔者研究团队采用浮选机并配合生物质柴油捕收剂对粉煤灰进行浮选脱炭试验,炭脱出率较常规柴油提高约25%,且精矿灰分更低。朱长勇等以宁夏某高碳粉煤灰为研究对象,采用浮选机进行脱炭试验,通过对浮选尾矿的扫选,最终得到产率为73.68%、烧失量为13.87%的尾灰。针对40μm以下的粉煤灰颗粒,旋流-微泡浮选柱是最佳的浮选脱炭设备。浮选柱中的旋流力场、高剪切矿化及自吸式气泡发生特性显著提高了微细粉煤灰颗粒与气泡的碰撞和黏附概率(图9)。ZHANG等研究了旋流-静态微泡浮选柱与传统浮选机对粉煤灰浮选脱炭效果,在最佳的浮选条件下,浮选柱中未燃残炭的回收率为86.69%,比传统浮选机高6.5%,浮选柱尾矿烧失量降低至1.99%。

15.png

图9 旋流微泡浮选柱分选原理示意图

在工业应用方面,李国胜以广东韶关某发电厂湿排粉煤灰为试验矿样,基于泡沫稳定性调节开展了粉煤灰浮选脱炭的工业实践,并建立了一条80万t/a粉煤灰柱式高效脱炭系统。在最佳药剂制度条件下,可得到烧失量2.19%的低炭灰产品,炭脱出率高达89.44%。烧失量13.67%的原灰物料经系统生产线加工后,得到了烧失量2.66%的低炭灰产品,成功实现了粉煤灰浮选高效脱炭的工业实践。湖南某粉煤灰浮选脱炭处理厂的50万t/a生产线采用粗浮选、精浮选两次浮选工艺,并结合浮选柱自动加药装置成功得到烧失量≤5.00%;0.045mm筛余量≤12%的合格产品。大唐华银株洲发电厂的浮选脱炭生产基地其浮选项目采用“一粗一精一扫”的工艺流程可达到总回收率超过80%,尾矿烧失量<4%的合格产品,按当年市场价格估算,整体价值为1.325亿元。粉煤灰浮选脱炭工业技术相对成熟,应用市场前景广阔,并具有极大的环保和经济意义。

综上所述,粉煤灰中残炭颗粒与无机矿物组分间的表面性质差异决定了浮选是实现炭灰分离的途径之一。虽然粉煤灰中残炭颗粒发达的孔隙结构增加了浮选药剂的无效消耗,但复配药剂及废机油/废餐厨油等组合药剂凭借其极性与非极性组分间的协同效应有效提高了粉煤灰浮选效率。此外,纳米气泡与超声等浮选过程强化技术的引入也在一定程度上提高了炭灰分离效率并降低浮选药剂消耗量。然而,上述技术在实际工程应用中的报道并不多见,粉煤灰浮选脱炭研究在浮选药剂种类与过程强化技术开发方面仍存在较大的进步空间。


2.2气化细渣浮选脱炭研究

气化细渣是煤炭经过气化后排放的固体残物之一,其中的未燃残炭在高温环境下虽表面性质有所改变,但相较于无机矿物组分的亲水表面仍具有一定的疏水性。气化细渣中残炭表面与无机矿物组分表面亲疏水性的这一差异特征为利用浮选技术实现二者分离提供了基础。FAN等研究了废机油作为气化细渣浮选捕收剂的浮选脱炭机理,结果表明,废机油中的极性与非极性组分是提高浮选效率的关键。其中非极性的碳氢化合物可吸附在残炭颗粒表面的非极性区域(―CH₃、―CH₂―等),增强表面疏水性;极性组分可通过氢键吸附在气化细渣表面的极性区域(C―O、C=O、O―C=O),废机油中极性-非极性组分在气化细渣表面的协同吸附实现了气化细渣炭灰浮选有效分离。类似这种采用废机油或废餐厨油等作捕收剂浮选气化细渣,实现“以废治废”的理念在其他研究工作同样被得到验证,成为当前气化细渣浮选研究领域的一大热点。SHI等将极性类油酸与非极性类煤油混合复配实现了浮选药剂极性-非极性协同吸附的未燃炭浮选过程强化(如图10所示),试验结果表明,使用复配后的PS-1药剂与传统煤油相比,浮选可燃体回收率提高到68%,药剂用量降低约50%。类似地,程延化采用月桂酸和煤油为复配药剂对气化细渣进行浮选脱炭试验,当复配药剂用量提高到16kg/t时,尾矿烧失量降低到8%以下,可燃体回收率超过90%。

16.png

图10 PS-1 药剂在气化细渣表面吸附原理示意图

在众多气化细渣浮选试验研究中,研究者们发现除捕收剂外,传统醇类其起泡剂起泡效果差也是导致浮选脱炭效果不佳的原因之一。为了改善气化细渣浮选起泡效果,研究者们尝试将捕收剂与表面活性剂进行复配,通过利用表面活性剂降低气液界面张力特性提高矿浆起泡效果。刘晓东研究了不同非离子表面活性剂(Span80、AEO-3、AC1202)与捕收剂和起泡剂的复配乳化药剂对气化细渣浮选的影响,发现乳化药剂虽提高了药剂在颗粒表面的黏附铺展效率和可燃体回收率,但药剂用量仍达到了20kg/t。XUE等研究了捕收剂(煤油、环烷酸和两种试剂的混合物)和起泡剂(DL-仲辛醇)对气化细渣浮选脱炭的影响,结果表明,煤油和环烷酸的复合混合物可以节省一半的捕集剂和起泡剂用量。笔者研究团队借鉴金属盐离子在低阶煤浮选中的稳泡特性,将不同离子价态的金属盐离子引入气化细渣浮选体系中,发现盐离子的加入有效提高了气化细渣浮选泡沫稳定性,金属盐离子的加入有效降低了颗粒表面Zeta电位,阻碍了气泡间的兼并,有效实现了气化细渣的浮选炭灰分离。

目前,传统单一类浮选药剂难以在气化细渣浮选脱炭过程中取得令人满意的浮选效果,其主要原因是气化细渣中发达的孔隙结构和残炭表面丰富的亲水性含氧基团。孔隙结构的存在会吸附浮选药剂和水分,而亲水性含氧基团增加了气化细渣颗粒表面的亲水性,导致浮选药剂消耗量的剧增。此外,气化细渣中残炭与无机矿物组分的嵌布黏连赋存形态也是造成浮选脱炭效果降低的原因之一(图11)。

17.png

图11 孔隙结构对气化细渣润湿性和浮选效果的影响

为了消除上述因素对气化细渣浮选脱炭的影响,分选前预处理技术成为当前气化细渣浮选脱炭的研究热点之一,主要包括选前的磨矿预处理及超声预处理技术等(图12)。WANG等对气化细渣进行选前研磨预处理并配合新型纳米混合捕收剂协同应用于增强气化细渣浮选,在最佳研磨工艺条件下,残炭去除率达到92.48%。MA等采用机械研磨与盐离子协同浮选的办法强化气化细渣浮选过程,在600r/min研磨速度下磨矿10min,残炭去除率为87.85%。笔者总结了机械研磨预处理提高气化细渣浮选脱炭效率的主要原因:一方面是增加了残炭新鲜疏水表面的暴露面积。残炭组分具有天然疏水性,但在高温气化过程中残炭表面被迅速氧化,表面疏水性降低,机械研磨在物理剥离和剪切作用下有效破碎残炭颗粒,产生大量新鲜表面,提高了残炭疏水性。另一方面,机械研磨提高了残炭与无机灰渣组分的解离程度,遏制了浮选过程中的细泥夹带效应,从而提高了残炭上浮效率。最后,机械研磨也会对残炭组分的孔隙结构造成不同程度的破坏,降低孔隙结构对浮选药剂的无效消耗,提高浮选脱炭效率。

18.png

图12 研磨浮选工艺及研究流程

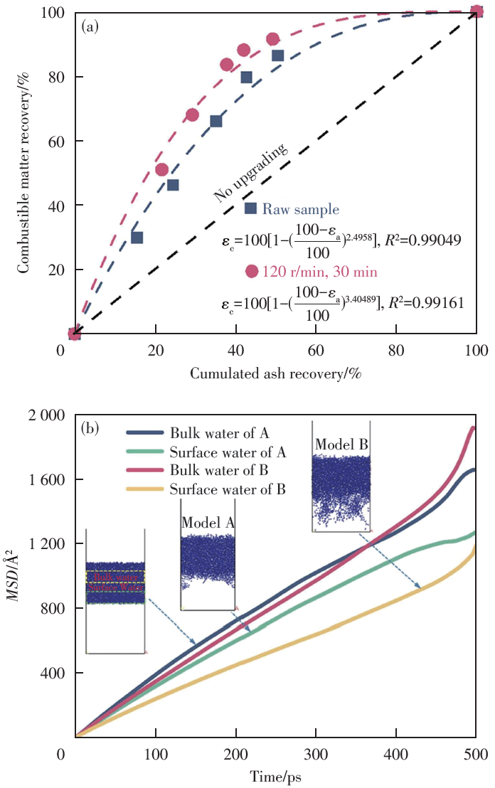
笔者也曾结合气化细渣炭灰共存特性,首次采用机械研磨的选前预处理方法提高气化细渣浮选效率,同时采用分子模拟技术从微观层面揭示了其内在机理。机械研磨有效降低了残炭颗粒表面的孔隙率,进一步减缓水分子在残炭表面的扩散速率,从而提高了残炭表面的疏水性与颗粒-气泡间的黏附概率(图13)。

19.png

图13 (a)机械研磨浮选效果;(b)机械研磨前后水分子在残炭表面扩散情况

另一方面,针对气化细渣中残炭组分与无机矿物组分黏附罩盖特点,有研究报告采用超声预处理方式降低浮选过程高灰细泥的夹带量,同时超声场的引入亦可减小浮选气泡尺寸,提高泡沫稳定性。WANG等采用超声浮选富集气化细渣中残炭,并与常规浮选进行了比较。他们发现超声预处理有效提高了浮选捕收剂和起泡剂在水溶液中的分散程度,并形成浮选药剂与水溶液混合的乳白色剂,浮选精矿灰分降低了16.54%,并且浮选完善度提高了12.60%。SUN等同样采用超声浮选方式对气化细渣中500~250μm和250~125μm两个粒级物料进行分选,确定了在270W超声功率下进行预处理4min的最佳浮选试验条件。最终精矿的灰分去除率高达88.51%。同样的,REN等也将超声场引入气化细渣浮选过程,发现矿浆超声预处理并采用柴油与生物柴油复合药剂相结合的方法有效屏蔽了气化细渣浮选过程中的不利因素,显著提高了气化细渣的可浮性(图14)。赵世永等研究了超声预处理对浮选脱炭的影响,他们发现随着超声时间的增加,精矿可燃体回收率也在不断提高,超声6min时,精尾矿烧失量分别为53.07%和41.50%。此外,焦科燃还发现超声预处理虽在一定程度上提高了气化细渣浮选脱炭效率,但超声功率值与碳灰分离程度并不呈现单调正相关,过高的超声功率不利于浮选提质。

20.png

图14 超声预处理调浆与复合捕收剂强化煤气化细渣浮选

除浮选药剂、浮选过程强化外,浮选流程工艺也是提高气化细渣浮选脱炭效率的重要研究方向。在现有的浮选工艺优化措施中,多步浮选是气化细渣浮选研究最多的工艺之一。多步浮选工艺的核心在于用过多次浮选流程逐步分离出不同矿物组分。气化细渣由于矿物组分复杂,很难通过一次浮选得到理想的试验结果。因此,常采用多步浮选的办法提高气化细渣的炭灰分离效率。GUO等采用三步浮选法富集气化细渣中残炭组分,在最佳浮选工况条件下获得了回收率为52.65%、烧失量为64.47%的未燃残炭。LIU等基于分步释放分析研究了气化细渣的浮选特性,通过四个分选步骤系统研究了浮选精矿产物特性,从颗粒表面形貌分析,浮选释放以各种形态的碳为主,颗粒表面和空隙内部越粗糙,柴油的吸附能力越弱,浮选难度越大(图15)。从颗粒的分布特征来看,灰分含量低、差异小、颗粒密度较大的颗粒在浮选过程中更难释放。于伟等以榆林地区煤气化细渣为研究对象,采用“一粗一精一扫”浮选工艺流程,在粗选柴油用量14kg/t,扫选柴油用量7kg/t条件下,获得了精矿产率为41.76%,灰分27.92%可燃体回收率55.08%产品。吴思萍等对榆林气化细渣进行分步释放浮选试验,通过一次粗选多次精选试验,探讨了该气化细渣的实际可浮性,最终精矿产率只有11.06%,且尾矿灰分也只为54.17%。王晓波等采用“一粗两精一扫”的浮选工艺流程研究了载体浮选对气化细渣浮选脱炭的影响,浮选可燃体回收率为94.61%,尾矿灰分高达96.43%。载体的加入一方面增大了矿浆中颗粒的碰撞概率,提高矿浆分散性;另一方面也使得部分矿物随载体粗颗粒一起上浮,降低了浮选药剂的消耗量。表6总结了不同浮选流程工艺的气化细渣浮选效果。此外,气化细渣浮选脱炭工程应用报道并未多见,贵州赤天化等单位曾进行过气化细渣的浮选脱炭工业试验,但由于药剂消耗量大,经济效益不佳等原因中止,气化细渣浮选脱炭工业化应用难以大规模推广主要原因仍是浮选药剂消耗量大,浮选效率低下,产生的精矿及尾矿产品难以达到资源化利用价值,经济效益有待进一步提高。

21.png

图15 浮选气化细渣颗粒分步释放分析

表6 气化细渣不同浮选流程工艺效果对比

22.png

综上所述,国内外学者针对气化细渣浮选脱炭开展了众多卓有成效的研究,但气化细渣中残炭多孔、细粒及其与无机矿物相互嵌布的赋存形态等特殊物性对浮选分离效果的制约并未得到根本性解决。其中,各类复配药剂的研发虽有效提高了气化细渣浮选效率,但浮选经济效益仍有待提升;选前预处理,如机械研磨和超声处理可有效促进气化细渣的炭灰解离,提高药剂分散效果,但过细的物料粒度同样会增加后续浮选难度,并且此类预处理技术应用场景具有较大局限性,距工业化应用仍有一定距离;而多步浮选流程虽有效提高了气化细渣的炭灰分离效果,但复杂的工艺流程在实际生产中并非最佳生产方式。经济高效的浮选药剂与合适的预处理方式及简约有效的浮选流程仍然是当前气化细渣浮选脱炭研究的重点领域。


2.3粉煤灰与气化细渣浮选脱炭对比

粉煤灰与气化细渣均属于典型的煤基固废,二者虽在物性特征和化学性质方面有相似之处,但也有区别。张晓峰等曾在研究中指出,粉煤灰与气化细渣物料性质主要有三点不同:一是两者原煤入料粒度不同。电厂粉煤灰原煤入料粒度一般要求150μm以下,而气化原煤一般要求平均粒径为43μm,这是导致气化细渣平均粒径低于粉煤灰的主要原因。气化细渣过细的颗粒粒径使得其在浮选脱炭过程中夹带现象较粉煤灰更加严重,浮选脱炭效率也更低。闫小康等针对气化细渣微细粒矿物特性,提出了调控湍流强化气化细渣浮选脱炭,浮选精矿可燃体回收率达89.99%,尾矿烧失量降至4.66%。二是两者产生的氧化温度不同。电厂粉煤灰产生的锅炉炉膛温度一般在800~1300℃,而气化炉炉膛温度通常在1400℃或更高,这就导致气化细渣表面氧化程度比粉煤灰更高,疏水性也更差。LI等在研究循环流化床气化细渣孔隙结构与化学性质的工作中指出相较于原煤,气化细渣的还原性碳含量更低,而氧化性碳含量则更高,这也是导致气化细渣浮选脱炭较粉煤灰效率更低,药耗更高的原因之一(图16)。三是电厂粉煤灰与气化细渣氧化反应不同。粉煤灰是原煤在过量空气中完全燃烧后的产物之一,而气化细渣则是原煤在纯氧环境中不完全氧化的产物之一。原煤的部分气化或水蒸气活化会使气化细渣具有较多的过渡孔和比表面积,这就导致气化细渣较粉煤灰而言孔隙结构更为发达,对浮选捕收剂的吸附效果也更好,增加了浮选脱炭的药剂消耗。此外,气化细渣相较于粉煤灰其无机矿物组成中钙氧化物(CaSO₄)和SO₃的含量更高,导致其在浮选溶液环境中水化程度更高,需水量更大,浮选效率更低。

23.png

图16 气化原煤与气化细渣残炭表面官能团性质对比:(a)气化原煤;(b)气化细渣残炭



3 结论与展望

本文总结了两种典型煤基固废粉煤灰和气化细渣的化学元素、矿物组成、微观形貌、表面性质等物化特性及二者在浮选脱炭过程强化方面的研究进展,阐述了当前两种典型煤基固废浮选脱炭技术发展现状,分析了粉煤灰和气化细渣在各自浮选过程中所面临的技术困境。

1)粉煤灰与气化细渣都属于煤基固废的典型代表。两者在理化性质方面存在诸多相似之处,但也有差异。粉煤灰和气化细渣颗粒粒径均在74μm以下,但气化细渣的颗粒粒径更小,主导粒径为-45μm;粉煤灰和气化细渣均是由未燃残炭组分与无机矿物组成,但气化细渣中钙氧化物含量较高,因此在浮选矿浆溶液中的水化程度比粉煤灰严重,浮选炭灰分离更加困难;气化细渣相较于粉煤灰,其未燃残炭表面氧化程度更高,孔隙结构更加发达,导致其浮选药耗量更高,炭灰分离效率更低。

2)粉煤灰和气化细渣中炭灰分离是其资源化利用的前提,浮选是实现两者炭灰分离最经济有效的方法之一。相较于粉煤灰浮选脱炭,气化细渣的浮选药耗量更高,脱炭效率更低,所需浮选流程也更为复杂。主要原因有气化细渣平均粒度更细,浮选细泥夹带现象严重;其次气化细渣因其产生环境温度较粉煤灰更高,未燃残炭表面氧化程度也比粉煤灰中相应组分高,因此表面疏水性也更差;最后气化细渣因其产生环境为不完全氧化氛围,孔隙结构比在过量空气中完全燃烧的粉煤灰更加发达,对浮选药剂和水溶液的吸附能力也更强,导致浮选效率低下,围绕气化细渣浮选炭灰分离的过程强化技术仍待进一步研究和开发。

3)粉煤灰和气化细渣浮选脱炭技术围绕孔隙结构和表面化学基团的研究虽卓有成效,并且已粉煤灰浮选脱炭工程实践的研究报道。然而,气化细渣浮选炭灰分离效率仍有待进一步提高,浮选脱炭大规模工业化应用的报道并未多见。粉煤灰和气化细渣虽均属于多孔结构,但二者孔隙结构的产生条件并不相同。过量空气完全燃烧环境中的粉煤灰与纯氧不完全氧化环境中的气化细渣孔隙结构内部化学性质可能完全不同,这就导致两者孔隙结构对浮选药剂和水分子的吸附状态不尽相同,从而浮选效果也出现差异;此外,粉煤灰与气化细渣在无机矿物组成方面也有差异,二者浮选矿浆溶液化学环境可能大不相同,但目前相关研究并未引起足够关注。因此,未来围绕上述方向的探索工作可能是粉煤灰与气化细渣浮选脱炭研究的关注焦点,且仍具有充足的研究空间。


  • 行业动态

  • 成果展示