云南驰宏锌锗股份有限公司&昆明理工大学联合研究团队:湿法炼锌溶液氧化沉铁过程中钠钾离子的行为
来源:矿冶期刊群 时间:2026/1/21 16:07:07

研究了硫酸锌溶液氧化沉铁过程中钾和钠离子的行为。实验结果表明,钾和钠离子的存在明显加速了除铁反应的速率,并促进了它们以钾铁矾和钠铁矾的形式进入到针铁矿产物中,其析出顺序为钾铁矾>钠铁矾>针铁矿。XRD和SEM分析表明,钾离子比钠离子更易形成铁矾物相,且钾铁矾的生成速率更快。在溶液中没有钾钠离子时,产物为纯净的α-FeOOH。当钠离子浓度增加至2g/L时,产物为钠铁矾和α-FeOOH,而含相同浓度的钾离子的溶液产物为钾铁矾和α-FeOOH。相关成果发表于矿冶期刊群《有色金属(中英文)》2025年第10期。题目:湿法炼锌溶液氧化沉铁过程中钠钾离子的行为。作者:张候文,和贵方,杨博,孙朴,李兴彬,谢庭芳,袁国海。

1.jpg

扫码下载文章



研究背景

在锌湿法冶炼中,如何实现锌铁高效清洁分离及资源化利用一直是制约行业发展的技术难点之一。目前工业上主要采用三种化学沉淀法进行锌铁分离,即黄钾铁矾法、针铁矿法和赤铁矿法。其中,黄钾铁矾法虽具有沉降性能良好和利于酸平衡的优势,但其渣堆存成本高及无害化处理难度大,限制了该技术的可持续发展;赤铁矿法虽能产出铁含量达56%~60%的赤铁矿渣,但需要专用的高温高压除铁反应器;相比之下,针铁矿沉铁法具有工艺设备简单和设备配置要求较低等优势,目前在湿法冶金行业中得到了广泛应用。

针铁矿沉铁工艺主要通过两种途径实现:氧化还原法和部分水解法。其关键在于控制体系中Fe³⁺浓度低于1g/L。当溶液中Fe³⁺浓度过高时,会导致溶液过饱和度增大,从而加快Fe³⁺水解成核的速率,最终形成含水率高的Fe(OH)₃胶体或微晶,进而严重影响产物的沉降和过滤性能。在氧化沉铁过程中,Fe²⁺氧化反应是速率控制步骤。为强化这一过程,借助曝气和高剪切法可改善O₂传质效率,从而有效提升Fe²⁺的氧化速率,并取得良好的应用效果。采用氧压水热强化针铁矿除铁,氧压环境下不仅强化了传质过程,还加速了Fe²⁺的氧化反应。升高温度有利于Fe³⁺水解,并促进结晶性能良好的针铁矿析出。然而,在该温度条件下,钾和钠离子的行为尚未得到充分研究。因此,本文旨在探讨K⁺和Na⁺对氧化沉铁过程的影响规律,揭示其对除铁渣的作用机制,以期为优化湿法炼锌过程中的氧化沉铁工艺提供理论指导和技术支撑。



1 原料与方法


1.1 试剂

参考云南某冶炼厂的湿法炼锌浸出液成分(如表1所示),采用国药集团化学试剂有限公司生产的七水合硫酸锌(ZnSO₄·7H₂O)和七水合硫酸亚铁(FeSO₄·7H₂O),配制了含锌130g/L,含亚铁15g/L的ZnSO₄-FeSO₄溶液。实验中采用工业纯氧作为氧化剂,纯ZnO作为中和剂,以模拟氧化沉铁工艺。

表1 某工厂生产的锌浸出液化学成分

2.png


1.2 实验方法

实验在2L的高压釜中进行,装置示意图如图1所示。首先向预清洗干净的反应釜中加入1L配制好的ZnSO₄-FeSO₄溶液和5g针铁矿作为晶种。密闭反应器后通入氮气检查气密性。随后通过程序升温将温度控制在110℃。当达到反应温度后,通入氧分压为0.2MPa的氧气并开始计时。实验过程中加入中和剂,将体系pH值控制在2~3。当终点pH值稳定在3.5左右且不再发生变化时,即判定溶液中的铁已基本完全沉淀,此时停止加热并降温泄压。反应产物用真空泵进行固液分离,滤液采用重铬酸钾法测定铁浓度,除铁渣经水洗后于60℃真空干燥箱中烘干并进行送检和表征。

3.png

图1 除铁反应设备



2 实验原理

沉铁反应在110℃下和0.2MPa氧分压的条件下进行,强化了气-液传质过程,有效促进了溶解氧与Fe²⁺的氧化反应过程。通过连续不断地泵入中和剂,将溶液酸度控制在针铁矿物相稳定析出的pH值范围内,从而加速针铁矿法除铁的整体进程。该过程是一个吸热反应,升高温度不仅有利于推动反应正向进行,同时降低了针铁矿析出所需的pH条件。反应主要涉及的氧化、水解和中和等化学反应如下:

4.png

5.png

当溶液中含有钾、钠等一价阳离子时,在较低pH条件下,铁离子会优先与这些阳离子结合,形成化学式为AFe₃(SO₄)₂(OH)₆稳定铁矾类化合物(A代表Na⁺、K⁺、NH₄⁺、H₃O⁺等一价阳离子)。其中,黄钾铁矾(KFe₃(SO₄)₂(OH)₆)是一种天然菱形结晶体,具有易于沉降和过滤的特性。该化合物不溶于水,但可溶于盐酸,化学反应方程式如下所示:

6.png

在湿法炼锌溶液中,Fe³⁺常以钾铁矾、铵铁矾、钠铁矾和草铁矾等形式沉淀析出,这些化合物的生成具有很大的热力学趋势。在相同条件下,铁钒的形成难易程度与一价阳离子的半径密切相关,Fe³⁺倾向于优先与离子半径接近或大于100pm的阳离子结合。如:K⁺(133pm)、NH₄⁺(143pm)和Na⁺(98pm)的离子半径差异对应了铁矾的沉淀顺序。因此,铁矾的优先析出的顺序大致为:钾铁矾>铵铁矾>钠铁矾>草铁矾。

溶液的铁初始以Fe²⁺的形式存在,而Fe²⁺氧化为Fe³⁺的能力直接影响铁的脱除效率。加入NaSO₄和K₂SO₄会增多体系中自由硫酸根离子的浓度,从而促进更多FeSO₄离子对的形成,随着K⁺和Na⁺浓度的增加,Fe³⁺的生成速率将加快。在体系pH值范围为2~3的条件下,更多的Fe³⁺会附着在晶种表面,加快Fe³⁺从溶液中形核析出速率。此外,随着自由的SO₄²⁻浓度的增加,溶液中存在以下电离平衡:

7.png

从上述电离平衡可以看出,溶液中大量存在的SO₄²⁻会抑制HSO₄⁻的电离,从而导致H⁺活度降低,体系pH值升高有利于促进除铁反应的正向进行。



3 结果与讨论


3.1 Na⁺ 浓度的影响

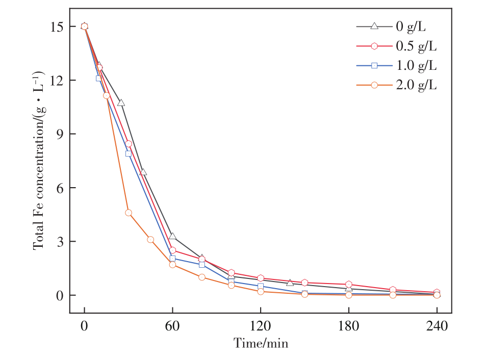
在温度为110℃,氧分压为0.2MPa,搅拌转速为500r/min,反应时间为4h,晶种添加量为5g/L的条件下,通过添加ZnO从而控制过程pH值在2~3,探究初始钠离子浓度对溶液中铁浓度和除铁率的影响规律,结果如图2和图3所示。

8.png

图2 初始Na⁺浓度与全铁浓度的关系

9.png

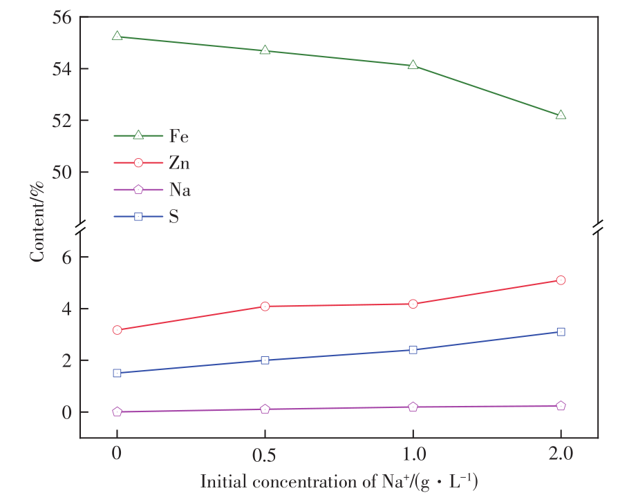
图3 不同初始Na⁺浓度下的铁渣主要化学成分

从图2可知,Na⁺的添加提高了除铁反应效率。当Na⁺浓度由0g/L增加到2.0g/L时,初始反应1h后的除铁率由78.3%增加到88.7%。这是因为除铁反应是一个产酸过程,当溶液酸度较高时,针铁矿析出的速率会减慢,部分Fe³⁺与Na⁺结合生成钠铁矾并从溶液中沉淀出来。

由图3可知,产出的铁渣中铁含量为55.2%~52.2%,锌含量为3.2%~5.1%,硫含量为0~3.1%,钠含量为0~0.2%,表明铁渣中确实生成了钠铁矾的物相。此外,Na⁺的引入不仅加速了Fe²⁺的氧化和Fe³⁺的水解,钠铁矾的生成还降低了溶液中游离Fe³⁺的浓度,从而促进了针铁矿的析出。尽管Na⁺浓度的增加使铁渣中的钠含量略有上升,但整体仍保持在较低水平,说明钠铁矾的生成量有限,这一现象可能与反应体系中Na⁺的浓度和pH条件有关。


3.2 K⁺浓度的影响

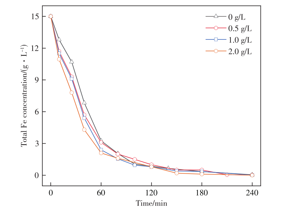
在反应温度为110℃,氧分压为0.2MPa,搅拌转速为500r/min,反应时间为4h,晶种添加量为5g/L的条件下,通过添加ZnO从而控制过程pH值在2~3,考察初始钾离子浓度对溶液中铁浓度和除铁率的影响,结果如图4和图5所示。

10.png

图4 初始K⁺浓度与铁浓度的关系

11.png

图5 不同初始K⁺浓度下的铁渣主要化学成分

由图4可知,在初始钾浓度为0~2g/L的范围内,反应1h后的除铁率分别为78.3%,79.3%,84.0%,86.0%,且在反应120min后,体系中的铁含量均降低至1g/L以下。这表明钾离子的引入有利于加速硫酸锌溶液中铁的沉淀与分离。

从图5可知,随着初始钾浓度的增加,沉铁渣中铁含量从55.2%降低至52.4%,而锌含量从3.2%升高至4.9%,钾含量从0升高至0.7%,硫含量在1.5%~3.6%之间变化。这表明沉铁渣形成了钾铁矾物相,且随着除铁前液中初始钾离子浓度的升高,铁渣中的锌含量也有所上升。钾铁矾的生成在一定程度上改变了铁渣的物相组成,导致铁含量下降,而锌和钾含量上升。钾离子的存在提升了除铁反应的效率,并通过生成钾铁矾降低了铁渣中的铁含量。然而,钾离子的引入也导致铁渣中锌含量的增加,导致锌损失,影响锌的回收效率。


3.3 铁渣的表征

实验结果表明,随着ZnSO₄-FeSO₄溶液中的K⁺和Na⁺浓度从0g/L提高至2g/L,产出的铁渣中铁含量降低,同时渣中钾元素的含量(0~0.7%)高于钠元素的含量(0~0.2%)。这一现象表明在相同条件下,K⁺较Na⁺更易与Fe³⁺形成铁矾物相。对不同K⁺和Na⁺浓度下的除铁渣进行XRD(图6和图8)和SEM(图7和图9)表征,对初始K⁺和Na⁺浓度为2g/L溶液产出的除铁渣的物相进行定量分析,结果如图10所示。由图6和图7可知,不同Na⁺浓度下获得的沉铁渣中均有针铁矿物相。当溶液中不含Na⁺时,铁渣主要由结晶良好的针铁矿组成,其衍射峰强度较高且峰形尖锐。随着Na⁺浓度升高,针铁矿的衍射峰强度逐渐减弱,半峰宽增加,表明其结晶度降低。特别是在初始Na⁺浓度为2g/L时,尽管铁渣中钠含量仅为0.2%,但XRD图谱在2θ=40.6°处出现了微弱的黄钠铁矾(107)晶面特征峰,表明有少量钠铁矾生成。扫描电镜进一步显示,随着Na⁺浓度的增加,铁渣形貌中出现了结晶度较差的针状颗粒和少量棱形结晶体,主要由纳米级的针铁矿颗粒紧密团聚和不规则的矾类结晶物组成。这种现象表明,铁渣的结晶性能变差,这主要是由于少量钠铁矾的生成干扰了针铁矿的结晶过程,导致晶体结构的不完整性增加。Na⁺的引入虽然促进了少量钠铁矾的生成,但由于其生成量有限,对铁渣整体物相组成的影响较小。钠铁矾的生成可能与反应体系中Na⁺浓度和pH条件有关,低浓度Na⁺更倾向于与Fe³⁺和SO₄²⁻结合生成钠铁矾,而高浓度的Na⁺则可能抑制针铁矿的结晶,导致铁渣整体结晶度下降。

12.png

图6 不同初始Na⁺浓度下的铁渣XRD图谱

13.png

图7 不同初始Na⁺浓度下铁渣的SEM图

14.png

图8 不同初始K⁺浓度下的铁渣XRD图谱

15.png

图9 不同初始K⁺浓度下铁渣的SEM图

根据图8和图9的分析结果可知,K⁺的引入影响了铁渣的物相组成和形貌特征。当初始K⁺添加量为2g/L时,XRD图谱显示针铁矿(110)晶面特征峰(2θ=21.2°)减弱,同时在2θ=17.4°、28.9°、29.4°和45.8°处出现了黄钾铁矾(012)、(113)、(015)和(033)晶面的特征衍射峰,表明体系中生成了黄钾铁矾相。原因是在110℃下,体系pH控制在2~3范围内更有利于针铁矿的稳定生成。但由于沉铁过程是一个产酸反应,当体系酸度在某一时刻升高时,黄钾铁矾会优先沉淀生成。扫描电镜进一步观察到,随着初始K⁺浓度增多,铁渣中棱形结晶逐渐增多,在K⁺浓度为2.0g/L时,针渣中形成了稳定的六边形块状物质,而少量的针铁矿结晶在其表面生长。这一形貌特征表明,在含K⁺体系中,黄钾铁矾更容易从溶液中析出,而针铁矿则倾向于在黄钾铁矾晶体表面附着并生长。因此,溶液中铁沉淀物的析出顺序为:钾铁矾>钠铁矾>针铁矿。

由图10可知,当溶液中含有钠和钾离子时,沉铁产物中的物相组成分别为,含钠体系的沉铁产物主要由FeOOH(80.0%)组成,同时含有5.1%的NaFe₃(SO₄)(OH)₆,12.7%的ZnSO₄和2.2%的结晶水;而含钾体系的沉铁产物中FeOOH占比略低(78.4%),KFe₃(SO₄)(OH)₆的含量提高至9.1%,同时含有11.3%的ZnSO₄和1.2%的结晶水。实验数据表明,在初始添加K⁺和Na⁺浓度为0.5~2.0g/L时,分别有1.5%~9.3%的K⁺和3.1%~5.7%的Na⁺进入沉铁产物。这一现象可以从热力学角度得到解释:一方面,铁矾类矿物的生成吉布斯自由能较针铁矿更负,使得体系优先形成铁矾相;另一方面,黄钾铁矾的生成能垒比黄钠铁矾更低,因此在相同反应条件下更易生成。值得注意的是,Na⁺和K⁺的引入不仅通过促进铁矾生成提高了除铁效率,还实现了对溶液中碱金属离子的同步脱除,在锌铁分离的同时兼具净化电解液的双重功效。

16.png

图10 初始Na⁺(a)和K⁺(b)浓度为2g/L时下铁渣的物相组成



4 结论

1)Na⁺和K⁺的存在加速了除铁反应的效率,尤其是在反应初期,除铁率显著提高。K⁺比Na⁺更容易形成铁矾物相,钾铁矾的生成速率高于钠铁矾。在110℃和氧分压0.2MPa的条件下,钾、钠离子的存在不仅提高了除铁效率,还能有效脱除溶液中的钾、钠离子,具有双重效果。

2)当溶液中含有2g/L的钠离子和钾离子时,沉铁产物中的物相组成分别为,含钠体系的沉铁产物主要为FeOOH(80.0%),同时含有5.1%的NaFe₃(SO₄)₂(OH)₆,12.7%的ZnSO₄和2.2%的结晶水;含钾体系的沉铁产物中FeOOH有所降低(78.4%),KFe₃(SO₄)₂(OH)₆含量更高(9.1%),同时含有11.3%的ZnSO₄和1.2%的结晶水。

3)溶液中铁沉淀物的析出顺序为钾铁矾>钠铁矾>针铁矿,除铁过程中针铁矿结晶在铁矾晶体表面附着并长大。


  • 行业动态

  • 成果展示